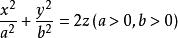
標準方程
在直角坐標系下,由方程
橢圓拋物面所表示的曲面叫做 橢圓拋物面,方程叫做 橢圓拋物面的標準方程,其中a,b是任意的正常數。
由曲面的對稱性可知,橢圓拋物面關於yOz面和zOx面對稱,關於z軸也對稱。
由橢圓拋物線方程可知z ≥0,因此該橢圓拋物面位於xOy面的上方。它與zOx面和yOz面的交線都是拋物線。
性質
(1)曲面的對稱性:橢圓拋物面關於yOx、zOx坐標面以及z軸對稱,但它沒有對稱中心,它與對稱軸交於點(0,0,0),這點叫做橢圓拋物面的頂點。
(2)曲面與坐標軸的交點:橢圓拋物面通過坐標原點,且除原點外,曲面與三坐標軸沒有別的交點。
(3)曲面的存在範圍:橢圓拋物面全部在髫|9y坐標面的一側,即在z ≥0的一側。
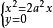
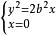
(4)被坐標面截得的曲線:用坐標面y=0,x=0截割曲面,分別得拋物線
橢圓拋物面
橢圓拋物面這兩個拋物線叫做橢圓拋物面的主拋物線。它們有著相同的頂點和相同的對稱軸,即x軸。開口都向z軸正方形。

