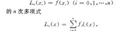
拉格朗日插值(Lagrange interpolation)一種多項式插值.指插值條件中不出現被插函式導數值的插值.過n+1個樣點(二,關(i一0,1,""",n)滿足插值條件
拉格朗日插值稱為拉格朗日插值多項式,亦稱拉格朗日插值公式

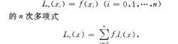
拉格朗日插值公式是在節點上給出節點基函式,然後做基函式的線性組合,組合係數為節點函式值。
拉格朗日插值(Lagrange interpolation)一種多項式插值.指插值條件中不出現被插函式導數值的插值.過n+1個樣點(二,關(i一0,1,""",n)滿足插值條件
拉格朗日插值稱為拉格朗日插值多項式,亦稱拉格朗日插值公式
拉格朗日插值多項式是一種最常見的多項式插值法,也是一種最常用的逼近工具。
拉格朗日插值多項式逼近 正文 配圖 相關連線在數值分析中,拉格朗日插值法是以法國十八世紀數學家約瑟夫·拉格朗日命名的一種多項式插值方法。許多實際問題中都用函式來表示某種內在聯繫或規律,而不少函式都...
發現歷程 定義 一般形式運用方法拉格朗日插值公式(外文名Lagrange interpolation formula)指的是在節點上給出節點基函式,然後做基函式的線性組合,組合係數為節...
公式介紹 詳細釋義 拉格朗日約瑟夫·拉格朗日(Joseph Louis Lagrange),法國數學家、物理學家。他在數學、力學和天文學三個學科領域中都有歷史性的貢獻,其中尤以數學...
拉格朗日 拉格朗日方程 插值公式 中值定理插值是離散數學名詞,指用來填充圖像變換時像素之間的空隙。插值是離散函式逼近的重要方法,利用它可通過函式在有限個點處的取值狀況,估算出函式在其他點處的近似...
發展歷史 主要內涵 基本類型 編程使用插值是離散數學名詞,指用來填充圖像變換時像素之間的空隙。插值是離散函式逼近的重要方法,利用它可通過函式在有限個點處的取值狀況,估算出函式在其他點處的近似...
發展歷史 主要內涵 基本類型 編程使用設函式f的離散數據為(xi,yi),yi=f(xi),i=0,1,2,...,n,插值的目的是在x0,x1,x2,...,xn之間給定了自變數x的值後,...
基本介紹 方法步驟 反插值及餘項插值法又稱“內插法”,是利用函式f (x)在某區間中已知的若干點的函式值,作出適當的特定函式,在區間的其他點上用這特定函式的值作為函式f (x)的近似值...
定義 Lagrange插值 Newton插值 Hermite插值 分段插值