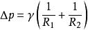
拉普拉斯公式(Laplace equation)是界面化學的基本公式之一。描述彎曲液面兩側壓力差Δp與液體表面張力係數γ及曲面曲率半徑的關係。其表達形式為
拉普拉斯公式式中:ΔP—作用在界面兩側的壓力差;
γ—液膜的界面張力;
R1、R2—為受附加壓力△P作用的曲面上某點的任意兩個正交的曲率半徑;
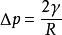
當曲面為球面時R1=R2=R,
拉普拉斯公式曲率半徑正負號的判定應與確定壓力差所處地位一致。由拉普拉斯公式可知。曲率半徑越小曲面兩側壓力差越大。拉普拉斯公式可對多種界面現象作出定性和定量的解釋。
