詳細介紹
實二次型的規範形(normal form ofreal quadratic form)
慣性指數
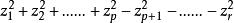
慣性指數任意一個實係數的二次型f(x1,x2:,…,xn)總可以經過實係數的非退化線性替換X=CY化為平方和 的形式,稱作實二次型f(x1,x2,…,xn)的規範形,其中平方項的個數r等於二次型的秩.任一實二次型的規範形是唯一的,即若實二次型f(x1,x2,…,xn)經過實係數非退化線性替換X=DZ變成規範形 ,則有p=q,這就是實二次型慣性定理.在實二次型f(x1,x2,…,xn)的規範形中,正平方項的個數p稱為實二次型的正慣性指數,負平方項的個數r一p稱為實二次型的負慣性指數,正負慣性指數的差p-(r-p)=2p-r稱為實二次型的符號差.在非退化實線性替換下,實二次型的秩、正慣性指數、負摜性指數、符號差都是定值 .
把二次型f所化得的標準二次型的平方項的係數中,正的個數和負的個數分別稱為f的正慣性指數和負慣性指數.
正負慣性指數之和=f的秩.
用矩陣的語言來表述即:與一個給定的實對稱矩陣 A契約的對角矩陣的對角線元素中,正的個數和負的個數是由 A確定的,把這兩個數分別稱為 A的正慣性指數和負慣性指數.契約於 A的規範對角矩陣是唯一的,其中的自然數p,q就是 A的正,負慣性指數 .
由慣性定理可知,二次型的正、負慣性指數是由二次型本身唯一確定的.事實上,正(負)慣性指數即為二次型矩陣A的正(負)特徵值的個數.
從化標準形為規範形的過程看到,標準形中正(或負)平方項的個數就是正(或負)慣性指數.因此,雖然一個二次型有不同形式的標準形.但每個標準形中所含正(或負)平方項的個數是一樣的.
相關定理
定理1 兩個二次型可以用可逆線性變數替換互相轉化的充分必要條件為它們的正,負慣性指數都相等.(即兩個實對稱矩陣契約的充分必要條件為它們的正,負慣性指數都相等.)
定理2 實對稱矩陣 A的正(負)慣性指數就是它的正(負)特徵值的個數.
推論 兩個實對稱矩陣契約的充分必要條件是它們的正(負)特徵值的個數都相等 .

