簡介
稱波片中傳播速度慢的光矢量(Light vector)方向為慢軸。稱波片中傳播速度快的光矢量方向為快軸。
快、慢軸與晶體光軸的關係
光軸
光沿A、B的連線方向傳播時,不發生雙折射現象,這個方向叫做雙折射晶體的光軸。
慢軸主截面
當光在一晶體表面入射時,此表面的法線與光軸所構成的平面。
當入射面是主截面時,O光的振動垂直主截面;e光的振動平行於主截面。
實驗證明: O光和e光均為偏振光。
慢軸晶體的雙折射現象
光束在某些晶體中傳播時,由於晶體對兩個相互垂直振動矢量的光的折射率不同而產生兩束折射光,這種現象稱為雙折射 (Double Refraction)。
在雙折射晶體中存在一個特殊的方向,當光束在這個方向傳播時不發生雙折射,此方向稱為晶體的光軸。
在光軸方向上,o 光和 e 光都遵守折射定律。而且:
慢軸在λ/4波片中
慢軸
慢軸若,對應的。
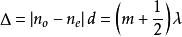
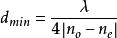
則稱該波片是1/4波片,1/4波片的最小厚度:
慢軸當n>n時,e光超前,波片的快軸為e 矢量方向。
性質:
1)線偏光入射時
若入射線偏光光矢量方向與快、慢軸方向一致時,出射仍為線偏光;
若入射線偏光光矢量方向與快、慢軸都成45度時,出射光為圓偏光;
若入射線偏光光矢量方向與快、慢軸都成其他角度時,出射光為橢圓偏光。
2)圓偏振光通過四分之一波片後,變為線偏振光。
3)橢圓偏振光入射時
若長軸或短軸方向與波片的快、慢軸方向一致時,出射光為線偏光;
若為其他方向時,出射光仍為橢圓偏光。
在λ/2波片中
O光和e光產生的光程差
慢軸
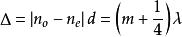
慢軸,對應的。
稱該晶片為二分之一波片。
性質:
1)圓(橢圓)偏振光入射時,出射光仍為圓(橢圓)偏振光,只是旋向相反;
慢軸
慢軸2)線偏振光入射時,出射光仍為線偏振光。若入射的線偏振光與快(慢)軸夾角為,出射光的振動方向向著快(慢)軸轉動了2。
線偏振光通過半波片後光矢量的轉動
慢軸全波片
O光和e光產生的光程差
慢軸
慢軸,對應的。
稱該晶片為全波片。
性質:
1)不改變入射光的偏振狀態;
2)只能增大光程差。
幾點注意
波片是對特定的波長而言;
自然光入射波片時,出射光仍然是自然光 ;
為改變偏振光的偏振態,入射光與波片快軸或慢軸成一定的夾角。
快慢軸測定
提出了一種新的波片快慢軸的確定方法,此方法是將待測波片置於起偏器和檢偏器之間,通過旋轉待測波片,對出射光的光強進行兩組數據測量,就可以確定待測波片的某一光學主軸,再通過判斷出射光的偏振態來確定該光學主軸是快軸還是慢軸。本方法對測量用的光源波長、光電探測器的線性、暗流及各向同性性均沒有要求,可以確定出任何相延角波片的快慢軸,定軸精度可達±0.1°
利用Jones矩陣研究偏振光通過1/4波片後偏振態的變化,主要計算線偏振光、橢圓偏振光和圓偏振光通過1/4波片後偏振態的變化。計算結果表明,入射線偏振光的偏振方向與波片快(慢)軸一致時,出射光仍為線偏振光;偏振方向與波片快(慢)軸成π/4角時,出射光為圓偏振光;偏振方向與波片快(慢)軸成任意角時,出射光為橢圓偏振光;而入射橢圓偏振光的橢圓主軸與波片快(慢)軸一致時,出射光為線偏振光;橢圓主軸與波片快(慢)軸成任意角時,仍為橢圓偏振光;若入射光為圓偏振光,則出射光為線偏振光。
光交叉復用器Interleaver技術的出現大大降低了密集波分復用器的設計壓力,使許多成熟的濾波技術得以在新套用中繼續發揮作用。介紹了光交叉復用器的原理,提出了一種新的基於雙折射晶體的光交叉復用器的設計方法,該方法是利用晶體的雙折射效應和偏振光效應,主要是採用晶體和波片。通過兩種不同晶體的匹配可以實現減小甚至消除由於溫度引起的中心波長的漂移。這種方法具有插入損耗小、偏振相關損耗低、隔離度高、溫度穩定性好等優點。大量實驗證明該方法確實可行並已經投入生產。
