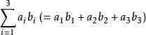
所謂Einstein約定求和就是略去求和式中的求和號。在此規則中兩個相同指標就表示求和,而不管指標是什麼字母,有時亦稱求和的指標為“啞指標”
愛因斯坦記號具體約定如下:
1、在同一項中,如果同一指標(如上式中的i)成對出現,就表示遍歷其取值範圍求和。這時求和符號可以省略,如上所示。
2、上述成對出現的指標叫做啞指標,簡稱啞標。表示啞標的小寫字母可以用另一對小寫字母替換,只要其取值範圍不變。
3、當兩個求和式相乘時,兩個求和式的啞標不能使用相同的小寫字母。為了避免混亂,常用的辦法是根據上一條規則,先將其中一個求和式的啞標改換成其它小寫字母。(這一條規則以後會用到)
這就是愛因斯坦求和約定。
採用愛因斯坦求和約定,可以使數學表達式顯得簡潔明快。
