正文
氣流在絕熱的固體表面上被滯止到零速度時的溫度。恢復溫度是高速氣流對流換熱和氣體動力學中的重要參數。
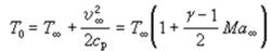
氣流原始溫度(靜溫)與由動能v^2/2折算成的溫升(動溫)之和稱為總溫T0,即
恢復溫度
恢復溫度
恢復溫度式中、Μɑ、γ=分別為氣流的來流速度、馬赫數和比熱容比。
在繞流物體的前駐點S處(見圖),作定常運動的氣流被定熵地壓縮滯止,使溫度上升到總溫的水平,這時的溫度稱為滯止溫度。
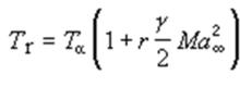
在被繞流物體的表面邊界層內(見邊界層理論),氣流因粘性摩擦而滯止時,一方面摩擦熱使當地氣體溫度升高;同時,這個溫升引起的溫度梯度又使熱量導出。因此,氣體在滯止後,原來的動能通常不能全部轉化成當地氣溫的升高,即當地氣溫實際上只能達到恢復溫度Tr,它稍低於總溫T0,其值為
恢復溫度式中r為溫度恢復係數,它標誌實際轉化為氣體溫升的動能的分額。實驗表明,對於普朗特數Pr接近於 1的氣體,可近似地認為:層流時r=Pr1/2,湍流時r=Pr1/3。
恢復溫度
恢復溫度
恢復溫度
恢復溫度
恢復溫度
恢復溫度
恢復溫度
恢復溫度
恢復溫度
恢復溫度
恢復溫度
恢復溫度
恢復溫度在低速流動中,或都接近於,一般不必引入恢復溫度的概念。高速氣流中,動能很大(例如當空氣流動的馬赫數達到0.75時,總溫高出靜溫約10%),即使氣流溫度與實際壁溫相同,甚至於比還低,只要高於,壁面不但不被冷卻,而且還被加熱。這時環繞壁面的氣流溫度是,而不是,所以高速流動時確定熱流方向的將是溫度差-,而不再是低速流動時的-,這就是所謂氣動力加熱問題。

