
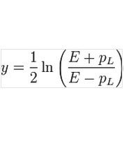
定義為:
其中:
y表示快度;E表示粒子的能量;PL表示沿著粒子運動直線上的動量。
通常用快度來描述縱向相空間,並且近似地認為贗快度等於快度。

快度是實驗粒子物理學上中常用的一個量。定義為:(如左圖)其中: y表示快度;E表示粒子的能量;PL表示沿著粒子運動直線上的動量。通常用快度來描述縱向相空間,並且近似地認為贗快度等於快度。

贗快度,是實驗粒子物理學一個常用的空間座標,用來描述粒子運動方向,與入射粒子束的夾角。
快度信息技術有限公司,創建於2008年,致力於用新的方式組織和衍生用戶所需的信息,幫助用戶的事業進而影響整個行業的信息渠道。
無錫快度信息技術有限公司是無錫市2008年度530A類企業。公司核心團隊由美國教授和博士構成。公司擁有的核心技術WIGOS(Automatic Web ...
簡介 《藍蟻網》 《藍蟻網》的特點 《藍蟻網》服務項目 隨機搜尋服務快播(又叫Qvod或Q播)是一款基於準視頻點播核心的、多功能、個性化的播放軟體,與傳統播放軟體不同的是,快播集成了不一樣的播放引擎,快播(QvodPla...
技術特點 套用 系統結構 主要功能 點播系統電影《前度》是由杜汶澤監製、香港新銳女導演麥曦茵執導的愛情電影。該片由阿嬌、陳偉霆、衛詩雅等主演,講述的是兩對青年戀人間錯綜複雜的感情糾葛。搶劫錯中複雜...
電影劇情 演職員表 角色介紹 精彩對白 原聲資料快閃店是一種不在同一地久留、俗稱Pop-up shop或temporary store的品牌游擊店(Guerrilla Store),指在商業發達的地區...
簡介 發展歷史 種類 特徵 最佳選址“快閃行動”是新近在國際流行開的一種嬉皮行為,可視為一種短暫的行為藝術。所謂的“閃”就是快閃、躲開、離開、讓開。簡單地說就是:一群通過網際網路或手機聯繫、...
簡介 特徵 缺點 案例電影《前度》是由杜汶澤監製、香港新銳女導演麥曦茵執導的愛情電影。該片由阿嬌、陳偉霆、衛詩雅等主演,講述的是兩對青年戀人間錯綜複雜的感情糾葛。搶劫錯中複雜...
電影劇情 演職員表 角色介紹 精彩對白 原聲資料