微波網路
正文
各類電子系統中用於檢測、傳輸、處理信息或能量的微波電路。微波網路理論主要研究微波電路的分析和設計方法,它與電磁場理論(見電磁場基本定理)同為微波領域中的主要理論基礎。分類 複雜的微波網路由許多簡單的微波網路所組成,後者有不同的分類方法。如按網路外接的傳輸線連線埠數可分為一連線埠、二連線埠、多連線埠的微波網路;按電路元件的性質可分為有源和無源的微波網路、線性和非線性的微波網路、可逆和非可逆的微波網路等。
無源微波網路 屬於二連線埠網路的有微波濾波器、模式變換器(用於將波導中的一種電磁波模式變換成另一種)、極化變換器(用於改變波導中電磁波的極化性質)、移相器、鐵氧體和隔離器等。屬於三連線埠網路的有功率分配器、鐵氧體 Y形環形器等。屬於四連線埠網路的有微波混合接頭、定向耦合器和定向濾波器等。用於微波多路通信的多工器屬於多連線埠網路,其功能是把一個寬頻帶信道分割成若干窄頻帶信道,使信號分別從不同的連線埠輸出。多工器可由多個定向濾波器連線而成,或由帶通濾波器及匹配雙T電橋組合而成。
有源微波網路 典型的二連線埠網路是微波電晶體放大器,採用雙極型電晶體或場效應電晶體可構成低噪聲放大器、功率放大器、寬頻放大器和窄頻帶放大器。典型的三連線埠網路是微波混頻器,常用肖特基勢壘二極體作混頻管,為了降低混頻器噪聲還可用二隻混頻管組成平衡混頻器。用於低噪聲放大的參量放大器也是一種三連線埠網路,其典型結構由一個三連線埠Y形環行器和一個二連線埠反射式放大器組成。信號自環行器的一個連線埠輸入,經接於第二連線埠的反射式放大器放大後,由環行器的第三連線埠輸出。反射式放大器具有信號連線埠和泵源連線埠,輸入信號經變容管的非線性電容吸取泵源功率而獲得增益。
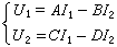
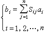
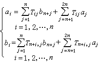
參量 任何微波網路的特性都可以用某一組網路參量來表示。描述 n連線埠網路的電壓{U1, U2, …,Un}與電流{I1, I2,…, In}之間關係的網路參量,有阻抗參量{Zij|j,j=1,2,…,n}或導納參量{Yij|j,j=1,2,…,n}(圖a),即關係式




微波網路綜合 在給定網路輸入連線埠的激勵和輸出連線埠的回響特性的條件下,設計網路結構並確定其中各元件的參量。一般可襲用低頻網路綜合理論中的零點-極點法進行綜合,如微波濾波器原型、電晶體放大器的寬頻帶匹配網路等;也可用級聯網路的反射係數進行綜合,如阻抗變換器和定向耦合器等。
參考書目
李嗣范:《微波元件原理與設計》,人民郵電出版社,北京,1982。

