基本簡介
定向耦合器定向耦合器是微波系統中套用廣泛的一種微波器件,它的本質是將微波信號按一定的比例進行功率分配。
定向耦合器由傳輸線構成,同軸線、矩形波導、圓波導、帶狀線和微帶線都可構成定向耦合器,所以從結構來看定向耦合器種類繁多,差異很大。但從它的耦合機理來看主要分為四種,即小孔耦合、平行耦合、分支耦合以及匹配雙T。
定向耦合器是把兩根傳輸線放置在足夠近的位置使得一條線上的功率可以耦合到另一條線上的元件。它的兩個輸出連線埠的信號幅度可以相等也可以不等,一種套用特別廣泛的耦合器是 3dB 耦合器,這種耦合器的兩個輸出連線埠輸出信號的幅度是相等的。
定向耦合器在20世紀50年代初以前,幾乎所有的微波設備都採用金屬波導和同軸線電路,那個時候的定向耦合器也多為波導小孔耦合定向耦合器,其理論依據是Bethe小孔耦合理論,Cohn和Levy等人也做了很多貢獻。
隨著航空和航天技術的發展,要求微波電路和系統做到小型化、輕量化和性能可靠,於是出現了帶狀線和微帶線。隨後由於微波電路與系統的需要有相繼出現了鰭線、槽線、共面波導和共面帶狀線等微波集成傳輸線。這樣就出現了各種傳輸線定向耦合器。
第一個真正意義上的定向耦合器由H. A. Wheeler在1944年設計實現,Wheeler使用了一對長為四分之一中心頻率波長的圓柱來實現電場與磁場的能量相互耦合,遺憾的是這種方法只能實現一個倍頻程的頻寬。
定向耦合器是一種具有方向性的功率耦合(分配)元件。它是一種四連線埠元件,通常由稱為直通線(主線)和耦合線(副線)的兩段傳輸線組合而成。直通線和耦合線之間通過一定的耦合機制(例如縫隙、孔、耦合線段等)把直通線功率的一部分(或全部)耦合到耦合線中,並且要求功率在耦合線中只傳向某一輸出連線埠,另一連線埠則無功率輸出。如果直通線中波的傳播方向變為與原來的方向相反,則耦合線中功率的輸出連線埠與無功率輸出的連線埠也會隨之改變,也就是說,功率的耦合(分配)是有方向的,因此稱為定向耦合器(方向性耦合器)。
定向耦合器作為許多微波電路的重要組成部分被廣泛套用於現代電子系統之中。它可以被用來為溫度補償和幅度控制電路提供採樣功率,可以在很寬的頻率範圍完成功率分配與合成;在平衡放大器中,它有助於獲得良好的輸入輸出電壓駐波比(VSWR);在平衡混合器和微波設備(例如,網路分析儀)中,它可以被用來採樣入射和反射信號;在移動通信中,使用
90°電橋耦合器可以確定 π /4移相鍵控(QPSK)發射機的相位誤差。耦合器在所有四個連線埠均匹配於特性阻抗,這使得它可以方便地被嵌入到其它電路或子系統之中。通過採用不同的耦合結構、耦合介質和耦合機制,可以設計出適合各種微波系統不同要求的定向耦合器。
工作原理
主線中傳輸的功率通過多種途徑耦合到副線,並互相干涉而在副線中只沿一個方向傳輸。
圖1為矩形波導定向耦合器的三種典型耦合結構。a是相距1/4導波長的雙孔耦合;b是間距和長度都等於1/4導波長的雙串聯分支線耦合;c是在裂縫區域內TE和TE兩種傳播模式的連續耦合。以a和b兩種結構為例,從連線埠①輸入的信號分兩路耦合到副線後,朝連線埠④方向因行程相等而同相疊加,有輸出;朝③方向則行程相差1/2導波長而反相抵消,被隔離而無輸出。
圖2為微帶定向耦合器的兩種典型的耦合結構。A是間距和長度都等於1/4導波長的雙並聯的分支線耦合,b是在平行區域內電場和磁場兩種結構連續耦合。以b的結構為例,從連線埠①輸入的信號由電場耦合在副線的兩個連線埠上產生同相感應電壓,磁場耦合則產生反相感應電壓。結果在連線埠④處相加而有輸出,③處則抵消而呈隔離無輸出。
圖(1)
圖(2)
圖(3)此外,也可構成其他傳輸線的定向耦合器(圖3)。
網路特性
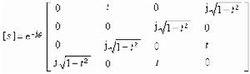
定向耦合器可被看作為四連線埠網路,其特性可用散射矩陣【 s】表示,即
計算公式其中各連線埠的反射係數 sii( i=1、2、3、4)的值很小(理想值為零),表示各連線埠的匹配情況;耦合係數 s13= s31= s24= s42的值由設計時候的耦合度決定; s14= s41= s23= s32是隔離係數,理想值為零。
定向耦合的主要技術指標是耦合度 C(分貝)、定向性 D(分貝)和工作頻帶,其中
C=-20lg| s14| (dB)
D=20lg| s14/ s13| (dB)
理想定向耦合器的散射矩陣為
計算公式兩個輸出信號有90°的相位差。
上述雙孔或雙分支線耦合的單節定向耦合器工作頻帶較窄。若採用多孔或多分支線耦合結構的多節定向耦合器(幾個單節的級聯),可藉助綜合設計方法展寬工作頻帶。
主要參數
定向耦合器主要參數有以下幾個:
1、直通參數:根據散射矩陣可知由S21表征。
2、耦合參數:根據散射矩陣可知由S31表征。
3、隔離參數:根據散射矩陣可知由S41表征。
4、反射參數:根據散射矩陣可知由S11表征。

