簡介
在光學術語上,以透鏡為界:被攝物體所在的空間稱為“物方空間”;被攝物體所發出的光穿越透鏡在透鏡後面形成的像所在的空間稱為“像方空間”;在像方空間所形成的焦點稱為“像方焦點”或“後焦點”;反之,從像方開始,投射出與光軸平行的光線,並在透鏡物體空間所形成的焦點,稱為“物方焦點”或“前焦點”。
簡而言之,後焦點是距離系統最後一個光學表面頂點的後焦距(BFD)長度的焦點。
後焦點
後焦點注意:對於凹透鏡而言,物方焦點與像方焦點的位置與凸透鏡相反。
後焦距
定義
在空氣中的一個光學系統,有效焦距是由前面和後面的主平面至對應的焦點的距離。如果周圍的環境不是空氣,則距離要乘上該物質的折射係數。有些作者稱這個距離為前(後)焦距,以與上面定義的前(後)焦點距離有所區別。
通常,焦距或有效焦距是描述光學系統聚集光線能力的值,並且常被用來計算放大倍數。其他的參數則被用來計算一個特定對象的影像將會在什麼位置上形成。
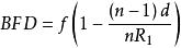
對在空氣中厚度為 d,曲率半徑為 R1和 R2的透鏡,有效焦距為:
後焦點
後焦點此處n是透鏡材料的折射率,數值就是這個透鏡的光學倍率。
對應後焦距是:
後焦點以最常見的標示習慣,如果第一個表面的透鏡是凸透鏡, R的數值是正值,如果是凹透鏡則是負值;如果第二個表面是凹透鏡, R的數值是正值,如果是凸透鏡則是負值。要注意的是,即使如此,不同的作者仍可能會有不同的標示習慣。
對一個球形曲率的鏡子,焦距等於鏡子的曲率半徑的一半。凹面鏡的焦距是正值,凸面鏡的焦距是負值。
後焦距的調節方法
有時候可能會遇到長焦推上去很清晰,但一推回廣角就模糊了的問題。其實這很可能是後焦距沒有調節好,導致長焦和廣角的焦點不能很好吻合的原因。後焦距又叫作法蘭焦距,用F表示。
為了更準確的描述其調節方法,將簡述為如下幾個步驟:
1:將光圈選擇開關設定於M
2:光圈環調到f/1.8(光圈調到最大,景深就最小,這樣聚焦才更精確)
3:將一個法蘭焦距調節用圖置於約3米處(用有條紋的A4大小的紙也可以,但一定要方便聚焦),然後調節室內的照明亮度,獲得光圈在f/1.8時的合適的錄像輸出水平(即在光圈固定在f/1.8時能在尋像器上清晰的得到圖像的亮度)
4:放鬆Ff調節掣子的螺絲
5:將ZOOM(變焦)選擇開關置於M
6:手動變焦控制桿移到長焦鏡頭處,調節聚焦環,使測試的圖譜清晰成像
7:再手動變焦控制桿移到廣角鏡頭處,調節Ff調節掣子,使測試圖譜清晰成像,切勿移動聚焦環
8:反覆6、7步,直至長焦鏡頭和廣角鏡頭均完成聚焦,能夠清晰成像
9:擰緊Ff調節掣子。
攝像機後焦點的調整方法
當我們接到一台攝像機後,必須校正攝像機鏡頭的後焦,因為後焦的調整準確與否,直接影響著大景別畫面的清晰度。假如後焦調得不準確,當你把鏡頭推向長焦末端,用前焦環調準前焦點,此時特寫畫面是清晰的。當你把鏡頭拉至廣角段時,畫面的清晰度依據後焦調整偏差的多與少就會發生不同程度的變化,導致畫面質量下降。而包括我們電視台很多技術人員都不清楚調後焦的正確方法,人云亦云,糊塗了事。
調整方法:
①、將光圈置於手動,開至最大光圈(調整到最小係數)。光圈置於手動是為了將光圈開至最大,光圈開至最大是為了縮小景深範圍,便於我們把後焦調整到最佳狀態(最好在室內適合最大光圈照度的環境中調整後焦點,不要在室外調整後焦點)。
②、 將攝象參照物距定為3米以上(不要低於3米)。
③、將鏡頭推至長焦末端,調整前焦點到最佳狀態。
④、將鏡頭拉至廣角末端,鬆開Marco鎖定螺絲,調整後焦點到最佳狀態(後焦環上所標的線對線位置只是一個大概的位置,必須進行準確調整)。
⑤、重複第3、4步,觀察長焦和廣角段上的畫面清晰度是否發生變化,如沒有變化鎖定後焦環即可。
