成份
彌可保本品主要成份為:甲鈷胺
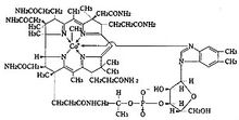
其化學名稱為:ɑ-(5,6-二甲基苯並咪唑基)-Co-甲基-鈷胺醯胺
其結構式為:
分子式: CHCoNOP
分子量: 1,344.40
適應症狀
該品適用於周圍神經病。
用法用量
口服。通常成人一次1片(0.5mg),一日3次,可根據年齡、症狀酌情增減。
不良反應
在總病例15,180例中,146例(0.96%)出現不良反應。(調查不良反應發生頻率結束時)
胃腸道:偶有(5%~0.1%)食欲不振、噁心、嘔吐、腹瀉;
過敏:少見([0.1%)皮疹。
禁忌
禁用於對甲鈷胺或處方中任何輔料有過敏史的患者。
注意事項
彌可保【一般事項】
1. 如果服用一個月以上無效,則無需繼續服用。
2. 從事汞及其化合物的工作人員,不宜長期大量服用本品。
【孕婦及哺乳期婦女用藥】
雖然甲鈷胺在動物試驗中未表現致畸作用,但其對懷孕婦女的安全性尚不明確。
尚不明確甲鈷胺是否通過婦女乳汁分泌,但動物試驗報告甲鈷胺有乳汁分泌。本品在哺乳期婦女的安全性尚不明確。
【兒童用藥】
未進行該項實驗且無可靠參考文獻。
【老年用藥】
由於老年人機能減退,建議在醫生指導下酌情減少用量。
【藥物相互作用】
未進行該項實驗且無可靠參考文獻。
【藥物過量】
尚無藥物過量的經驗。如果發生藥物過量,應進行對症、支持治療。
藥理毒理
彌可保藥理作用
動物實驗發現本品比氰鈷胺易於進入神經元細胞器,參與腦細胞和脊髓神經元胸腺嘧啶核苷的合成,促進葉酸的利用和核酸代謝,且促進核酸和蛋白質合成作用較氰鈷胺強。本品能促進軸突運輸功能和軸突再生,使鏈脲黴素誘導的糖尿病大鼠坐骨神經軸突骨架蛋白的運輸正常化,對藥物引起的神經退變具有抑制作用,如阿黴素、丙烯醯胺、長春新鹼引起的神經退變及自發高血壓大鼠神經疾病等。在大鼠組織培養中發現本品可以促進卵磷脂合成和神經元髓鞘形成。本品能使延遲的神經突觸傳遞和神經遞質減少恢復正常,通過提高神經纖維興奮性恢復終板電位誘導,能使飼以膽鹼缺乏飼料的大鼠腦內乙醯膽鹼恢復到正常水平。
毒理研究
生殖毒性:在大鼠和小鼠致畸敏感期經口給予本品0.2、2.0、20mg/kg/d,胎仔和新生仔中未見異常和致畸徵象。
藥代動力學
彌可保1.一次性給藥
健康人一次口服120μg、1,500μg[sup]註:[/sup],無論哪個劑量,均在給藥後3小時達到最高血藥濃度,其吸收呈劑量依賴性。半衰期、血清中總B濃度的增加部分及△AUC012如下圖、下表所示。
服藥後8小時,尿中總B的排泄量為用藥後24小時排泄量的40~80%。
註:標記的一次口服1,500μg給藥量是日本厚生省批准以外的用量
2.連續給藥
觀察健康人連續12周每天口服1,500μg,至停藥後4周的血清中總B的變化值。給藥4周后其值為給藥前的約2倍,以後逐漸增加,到12周后達約2.8倍,即使中止給藥4周后仍顯示為給藥前的約1.8倍。
藥品包裝
【貯藏】
遮光、密閉保存。
【包裝】
鋁塑包裝。
10片/板×2板/盒,10片/板×3板/盒,
10片/板×10板/盒。
【有效期】
暫定36個月
【生產企業】
企業名稱: 衛材(中國)藥業有限公司
相關截圖
| 說明書1 | 說明書2 |

