正文
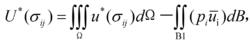
彈性力學的能量原理之一,它可表述為:整個彈性系統在真實狀態下所具有的余能(見應變能),恆小於與其他可能的應力相應的余能。其中可能應力是指滿足平衡方程和力的邊界條件的應力,記為σ。整個彈性系統的余能表示式為:
彈性力學最小余能原理式中左側為真實應力σij對應的余能;右側第一項為彈性體的余能,u*(σij)為余能密度,Ω是物體所占的空間;第二項為已知邊界位移的余能,B1為給定位移的邊界面,ūi為給定的位移分量,pi為面力分量,dB為B1上的面積微元;式中重複下標表示約定求和。這樣,最小余能原理可表示為:
U*(σij)≤U*(σ),
式中的等號只有當可能應力是真實應力時才成立。最小余能原理實質上等價於彈性體的變形連續條件。它可作為彈性力學直接解法和有限元法計算的重要基礎。

