庫普曼定理
正文



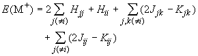
Ii=E(M+)-E(M)
庫普曼斯證明了在凍結假設下Ii近似地等於電離的相應分子軌道Ψi的能量Ei的負值:Ii=-Ei
這就是庫普曼定理。它把分子軌道理論與光電子能譜緊密地聯繫起來,成為檢驗理論和譜圖分析的重要依據。
採用軌道近似,使用單斯萊特行列式形式的電子波函式(見自洽場分子軌道法)則單電子的分子軌道滿足哈特里-福克方程



Ii=E(M+)-E(M)
庫普曼斯證明了在凍結假設下Ii近似地等於電離的相應分子軌道Ψi的能量Ei的負值:Ii=-Ei
這就是庫普曼定理。它把分子軌道理論與光電子能譜緊密地聯繫起來,成為檢驗理論和譜圖分析的重要依據。庫普曼斯定理(Koopmans' theorem)表明,在閉殼層的哈特里-福克近似下,一個體系的第一電離能等於其最高占據軌道(HOMO)的能量的負值,這...
簡介 哈特里-福克方程 斯萊特行列式 密度泛函理論佳林·庫普曼斯(1910年—1985年),美國人 ,1910年8月28日生於荷蘭,1940年離開荷蘭移居美國。1975年,他和康托羅維奇同時獲得諾貝爾經...
佳林·庫普曼斯 - 生平簡介 佳林·庫普曼斯 - 學術成就 佳林·庫普曼斯 - 理論思想庫普曼斯於1910年8月28日生於荷蘭,自幼刻苦讀書,在中學時代,他就立志成為科學家,決心為造福人類做出貢獻。 線性規劃經濟分析法的創立者
學術生涯 學術成就與學術地位 學術成就 主要理論與學術思想 主要著作費馬大定理,又被稱為“費馬最後的定理”,由法國數學家費馬提出。它證明當整數n>2時,關於x,y,z的不等式公式XN +YN ≠ ZN 成立。費馬大...
由來 艱難的探索 10萬馬克獎給誰 背景 費馬簡介費馬大定理,又被稱為“費馬最後的定理”,由法國數學家費馬提出。它證明當整數n>2時,關於x,y,z的不等式公式XN +YN ≠ ZN 成立。費馬大...
由來 艱難的探索 10萬馬克獎給誰 背景 費馬簡介霍普夫是1894年11月19日生於德國布雷斯勞,霍普夫一生髮表近70篇論文,合著《拓撲學 I》一書。
特倫斯·斯坦普(Terence Stamp,1939.7.22- )是一名英國著名演員,出生於Stepney,London,England,UK,196...
演藝經歷 個人生活 參演電影 獲獎記錄電腦史話(新版)《電腦史話》● 1、 計算機始祖 ● 36、 蘋果穿雨衣 ● 2、 第一抹曙光 ● 37...
人員趕到時,她已經死了。 在通往大都會洛杉磯的半路上的庫佛鎮,第一個...
