強流電子束和離子束
正文
束流強度達幾十萬以至上百萬安培的束流。它比通常加速器的束流密度高几萬倍以至幾十萬倍。20世紀60年代初期,由於模擬核爆炸條件下γ射線輻照效應和X射線照相的需要,強流脈衝電子束加速器得到了迅速發展,70年代後,由於粒子束慣性約束聚變、電子束抽運氣體雷射器、電子束產生高功率微波等研究工作的要求,研製了低電壓大電流的電子束加速器,並在這些技術的基礎上獲得了強流脈衝離子束。1984年已能產生1MeV、1MA的輕離子束,強流脈衝電子束也達到了如下的技術水平:電子能量 0.3MeV~12MeV
電子束流 10kA~5MA
脈衝寬度 10ns~100ns
總束能 1kJ~5MJ
功率 1011W~3×1013W
這些束流之特點是束流能量大、功率高、電流大、時間寬度窄。這種基於物理學和電工學相結合的高功率脈衝技術是一門新的前沿科學技術,近年來發展極為迅速,已成為研究高溫高壓電漿物理的重要工具,它在經濟和軍事套用方面有著廣闊的前景。
強流脈衝電子束的產生 強流脈衝電子束加速器主要由三個部分組成,即衝擊電壓發生器、脈衝成形線與脈衝傳輸線和場致發射二極體。從衝擊電壓發生器輸出的微秒級上升時間的高壓脈衝經脈衝成形線成形為幾十納(10-9)秒上升時間的高壓脈衝,並由傳輸線輸運至場致發射二極體,二極體起著將電磁能轉變為電子束的能量的作用。
衝擊電壓發生器 見脈衝倍壓發生器之圖2。衝擊電壓發生器的工作原理是對電容器組並聯充電串聯放電,獲得脈沖高壓輸出,減小衝擊電壓發生器電感,可縮短輸出高壓脈衝的上升時間。電容器的排列有Z型、S型和混合型等,採取正、負充電線路,可使火花球隙數目減少一倍。
強流電子束和離子束
強流電子束和離子束脈衝成形線和脈衝傳輸線 如圖1所示。衝擊電壓發生器輸出的電壓脈衝,對脈衝成形線充電,當電壓充至一定值時主開關接通,成形線中開始了波過程,經過
時間在成形線末端產生時間寬度為
的高壓脈衝加在場致發射二極體上。L為成形線長度,с為光速,ε為成形線介質的介電常數,也可以通過變阻抗傳輸線加到二極體上,以達到升壓或降壓的目的。脈衝成形線和脈衝傳輸線中充以去離子水或變壓器油,對於亞微秒充電時間的高壓脈衝,水是很好的絕緣介質,水的儲能密度大、價廉,發生電擊穿後能很快恢復不留痕跡。可根據T.H.馬丁的經驗公式來考慮脈衝成形線和脈衝傳輸線的絕緣要求。 強流電子束二極體 陰極表面細微的針尖狀結構,使場強增大約100倍,趨於108V/cm,由此引起的電流的增強造成陰極上微小尖端的蒸發,蒸發物的電離形成陰極電漿,並從中發射電流,陰極電漿的前沿以1~4×104m/s的速度向陽極運動,隨著束流的增強,在陽極上吸附的氣體釋放出來並被電離,形成陽極電漿,它以約1×104m/s的速度向陰極運動。
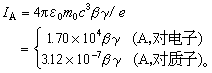
描述二極體中電子束流特性的一個重要物理量是v/ γ 值,v是單位長度上電子數目乘電子經典半徑,

,
,
IA稱為阿爾文電流。 低v/γ 值二極體阻抗可由蔡爾德-朗繆爾公式描述,平行板二極體阻抗為

當二極體中電流超過了臨界電流值時,電子軌跡開始箍縮,這時電子的拉莫爾半徑等於電子束半徑的一半,並等於陰陽極之間的間距。
在高v/ γ值的二極體中,當達到臨界電流值時,束流開始箍縮,實驗觀察到箍縮主要在脈衝的後一段時間內形成,並以(1~5)×106m/s的徑向崩塌速度進行,它比電漿膨脹速率大一個半到二個數量級,這是由於陽極電漿中的正離子向陰極運動,改變了空間電荷分布,增大了二極體電流,從而使箍縮進一步發展。
箍縮發生後,二極體阻抗大致和"順位流模型"的計算值相符。箍縮的結果使電子向二極體的軸線方向移動。由於空間電荷的堆積,造成陰極中心部分軸向電場的減小,從而降低了陰極中心區域的電子發射,過剩的空間電荷使得等位面分布接近錐形。電子沿錐形等位面運動。等位面的法線方向和磁場方向垂直。因而向外的電場力和向內的自磁場力方向相反。空間電荷堆積一直繼續到作用在電子上的淨力為零。於是從陰極邊界處發出的電子沿等位面作淨力為零的運動。按順位流模型可得

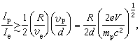
強流離子束的產生 在雙極性流的情況下,質子流和電子流密度滿足方程

反射型二極體 從陰極射出的電子穿過薄陽極靶後,遇到一個反向電場,使電子減速並迴轉,重新穿過陽極靶,然後陰陽極之間的電場又將電子拉向陽極。若靶上塗以某種有機物,由於電子來回穿過陽極靶,在靶上產生離子並向陰極運動(圖2)。反射型二極體產生離子效率可達50%,實際上不需要第二個陰極,從陽極穿出的電子的堆積,形成虛陰極。離子流密度和電子流密度之比為

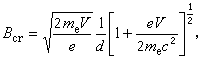
磁絕緣二極體 如圖3所示。外加一個大於臨界磁場Bcr的橫向磁場,偏轉電子,使它不能到達陽極。
強流電子束和離子束
,Bcr為實際磁場強度,Bcr是達到磁絕緣所必須的最小磁場強度,一般的偏轉角為1°~2°。 磁絕緣二極體的優點是在每次放電中陽極不會被損壞,約75%的二極體能量可以為離子帶走,在美國桑迪亞國家實驗室Proto-I加速器上獲得能量為0.8~1.4MeV,電流為360kA的質子束。
自箍縮型二極體 如圖4所示。陰極是大縱橫比的圓環,陽極為一平板,從陰極發出的電子呈圓環的形狀,電子轟擊在陽極上形成陽極電漿,它以約10%m/s的速度向陰極運動,走在前頭的離子流使電子的空間電荷中性化,因而促使電子流增長,當電子流超過了臨界電流時箍縮開始,在電子束每一次箍縮的過程中,有更多的電漿從陽極放出,離子從電漿中發出向陰極運動,電子束繼續箍縮,從陰極圓環到二極體軸,走了一條彎曲而長的路程,而離子從陽極至陰極卻走了一條比較直的路程,離子流和電子流之比為

強流電子束和離子束
均勻電子束流,在部分空間電荷中性化時,可傳輸的最大束流

,ni是單位時間內單位體積中產生的離子數,nb是單位時間內通過單位面積上的帶電粒子數。又由於電子束流上升前沿產生的隨時間變化的角向磁場Bcr(t),而感生的軸向電場Ez(t),會產生逆向電流Jr(t)=σEz(t),σ為電離的本底氣體的電導率,逆向電流可抵消原束流的磁場,起"磁中和"的作用,這時可傳輸的最大束流 
同時考慮到"電中和"和"磁中和"時,最大傳輸束流

表示,
,n值的正負決定了束流截面變化的行為。 W.T.林克曾分析在各種不同氣壓的空氣中電子束的傳輸特性,如下表所示。
強流電子束和離子束強流電子束和離子束的套用 強流粒子束已廣泛地套用於核爆炸模擬、大型 X閃光機照相、強功率微波的產生、強中子源的產生、粒子束慣性約束聚變的研究、抽運高功率的氣體雷射器(其中以準分子雷射器、二氧化碳雷射器和化學雷射器在最近幾年得到迅速發展),現只敘述在粒子束慣性約束聚變方面的套用。
強流粒子束射在球形的靶丸上,靶的結構包括三個部分:①燒蝕層。即靶殼的外層部分,絕大部分的束流能量在該層吸收,形成高溫高壓的電漿;②推進層。即靶殼的內層部分,當燒蝕層的高溫高壓電漿向外膨脹噴射時,靶殼的內層部分向內作聚心壓縮;③燃料。即DT混合物,由於推進層的壓縮,將燃料加熱和點燃。
粒子束慣性約束聚變研究中最關鍵的問題是增大在靶面上粒子束流的功率密度和粒子束在靶上的能量沉積,1976年蘇聯庫爾恰托夫研究所Л.И.魯達科夫等首次用功率約1011瓦的電子束輻照錐形靶,壓縮和加熱裝在錐形導向塞內的氘燃料,產生3×106個聚變中子,1977年美國桑迪亞國家實驗室G.約納斯等也用電子束輻照含氘小球,獲得約106箇中子。
離子束聚變較之電子束聚變有顯著的優越性,射程短,不預熱靶心的燃料,後向反射小等,因此點火功率的要求比電子束聚變可降低 5~10倍。70年代中期離子束聚變發展成為粒子束聚變的主要方向,目前在美國桑迪亞國家實驗室正在建造大型輕離子加速器PBFA-Ⅱ,從事該方面研究工作。
參考書目
T. H. Martin,IEEE Transactions On Nuclear Science,Vol. NS-16, No. 3, p. 59, June 1969.
G.Yonas,J.W.Poukey, K.R.Prestwich, J.R.Freeman,A.J.Toepfer and M.J. Clauser, Nuclear Fusion, Vol.14, p.731, 1974.
H.Alfven,Physical Review, Vol. 55,No.5,p.429,1935.
