形式
基本形式
斯萊特行列式最原初的形態是一個由單電子波函式即分子軌道波函式構成的行列式:
斯萊特行列式
斯萊特行列式行列式中每一行是由同一電子的不同可能波函式組成,每一列是由不同電子的相同可能波函式組成,行列式前的係數 是保證波函式歸一性的歸一係數。
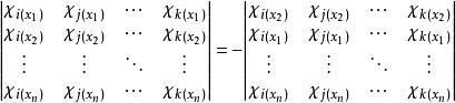
根據行列式的性質,互換行列式中的兩行行列式的符號會反轉:
斯萊特行列式這一性質正符合多電子體系的泡利原理。
其他形式
考慮到行列式在書寫過程中的不便,通常人們用右矢的形式代表斯萊特行列式:
斯萊特行列式需要注意的是,這種右矢形式僅僅用來代表行列式,並非數學上的相等關係。
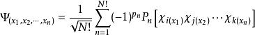
將行列式展開後,可以用置換運算元形式來表示斯萊特行列式:
斯萊特行列式
斯萊特行列式
斯萊特行列式其中運算元 叫做置換運算元,其作用是將各分子軌道波函式中的電子序號進行交換,根據排列的原理,在由N個電子組成的體系中,這樣的運算元一共有N!個。 是置換運算元的奇偶性,即任何置換運算元可以轉化為若干兩兩對換的置換運算元的乘積,所謂奇偶性就是一個置換運算元所分解成的對換運算元的個數的奇偶性。與上面提到的右矢形式不同,這種由置換運算元來表達的形式與行列式表達式在數學上是嚴格相等的。
對Slater行列式的置換運算元形式進一步簡化可以用反對稱化運算元形式來表示:
斯萊特行列式
斯萊特行列式其中運算元 叫做反對稱化運算元。
套用
斯萊特行列式在量子化學中套用廣泛,經過自洽場方法解HF方程獲得的最終解便是一個斯萊特行列式型多電子波函式,高級的量子化學計算方法也套用到斯萊特行列式,組態相互作用方法得到的多電子體系波函式是若干個斯萊特行列式的線性組合:
斯萊特行列式經過對這個由許多行列式組成的巨大波函式的變分法處理,可以獲得比HF方程更加精確的量子化學計算結果

