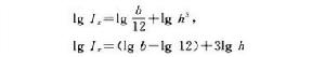
平行圖尺計算圖最簡單的平行圖尺計算圖具有三條平行的直線圖尺,適用於方程式Fau) -Fz w)+F3 (w).在這樣的計算圖上,設在圖尺Fz}v),F3 (w)上任取vl,w},連以直線vlw,在F}(u)圖尺上得u,,則F,(u,)=FZ(vl)+Fs(二,).“圖算學”條目中的圖便是這樣的平行圖尺計算圖,該計算圖系將h=b}3/12變為
平行圖尺計算圖 (parallel scale chart)是一種常用的計算圖,方程式各變數的圖尺是平行的直線,稱為平行圖尺計算圖。
平行圖尺計算圖最簡單的平行圖尺計算圖具有三條平行的直線圖尺,適用於方程式Fau) -Fz w)+F3 (w).在這樣的計算圖上,設在圖尺Fz}v),F3 (w)上任取vl,w},連以直線vlw,在F}(u)圖尺上得u,,則F,(u,)=FZ(vl)+Fs(二,).“圖算學”條目中的圖便是這樣的平行圖尺計算圖,該計算圖系將h=b}3/12變為
有:平行圖尺計算圖、Z形圖尺計算圖、匯交圖尺計算圖、有曲線圖尺的計算圖、有圓形圖尺的計算圖、有網線圖尺的計算圖、比例圖尺計算圖、平行指示線計算圖....所謂共線計算圖,是指計算圖各圖尺上符合方程式的一組變數數值位於一條直線上...
算圖(nomograph )又稱諾謨圖或列線圖。圖算法所用的圖。根據運算方程式或實驗結果,套用幾何原理用若干有標尺的線條所繪成的運算用圖。廣泛套用於科學...
算圖 正文 配圖 相關連線諾模圖的種類很多,有共線圖和共點圖(也稱網路圖)等,通常說的諾模圖是指共線圖,諾模圖使用方便,求解迅速,可以避免大量的重複計算,因此在機械設計中得到廣泛...
簡介 分類 計算多元宇宙是一個理論上的無限個或有限個可能的宇宙的集合,包括了一切存在和可能存在的事物:所有的空間、時間、物質、能量以及描述它們的物理定律和物理常數。多元...
基本概要 提出背景 發展歷程 研究現狀 研究前景多元宇宙是一個理論上的無限個或有限個可能的宇宙的集合,包括了一切存在和可能存在的事物:所有的空間、時間、物質、能量以及描述它們的物理定律和物理常數。多元...
基本概要 提出背景 發展歷程 研究現狀 研究前景多元宇宙是一個理論上的無限個或有限個可能的宇宙的集合,包括了一切存在和可能存在的事物:所有的空間、時間、物質、能量以及描述它們的物理定律和物理常數。多元...
基本概要 提出背景 發展歷程 研究現狀 研究前景尺,chǐ、chě。從屍從乙。乙,所識也。 尺骨,以人體小臂長為尺。 尺,十寸也。人手卻十分動脈為寸口。十寸為尺。尺,所以指規矩事也。 周制,寸、尺、咫...
詳細釋義 相關詞組 度量之一 發展簡介 尺的詩詞多元宇宙是一個理論上的無限個或有限個可能的宇宙的集合,包括了一切存在和可能存在的事物:所有的空間、時間、物質、能量以及描述它們的物理定律和物理常數。多元...
基本概要 提出背景 發展歷程 研究現狀 研究前景平行世界又稱平行宇宙(Multiverse、Parallel universes),或者稱多重宇宙論,指的是一種在物理學裡尚未被證實的理論,根據這種理論...
定義 層次 奧卡姆學說 宇宙關係 相關理論