定義
概念
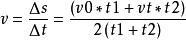
平均速率=路程/時間
公式
平均速率單位: m/s
區別
平均速率在習慣上稱平均速度,但與平均速度卻有很大的區別。平均速度是物體通過的位移和通過該位移所用時間的比值。而平均速率是物體通過的路程和所需時間的比值。
平均速率是標量,平均速度是矢量,所以平均速率和平均速度不是同一個物理量。
但在單向的勻速直線運動中,平均速率和平均速度的大小是相等的,平均速率強調平均速度的大小,不強調平均速度的方向。
特徵速率
由麥克斯韋速度分布律得出的氣體分子三種特徵速率之一
氣體分子熱運動的平均速率與熱力學溫度的關係為
計算公式
平均速率其中 為單個分子的質量,M為分子的摩爾質量, k為玻爾茲曼常數。k=1.38×10 J/ K,R為普適氣體常數,R=8.314 J/(mol· K)
(另外兩個特徵速率為方均根速率和最可幾速率)

