定義
平均數不等式,或稱 平均值不等式、 均值不等式,是數學上的一組不等式,也是基本不等式的推廣。它是說:
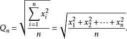
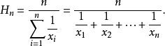
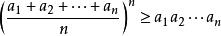
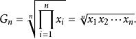
平均數不等式如果 是正數,則
平均數不等式其中:
平均數不等式
平均數不等式
平均數不等式
平均數不等式
平均數不等式若且唯若 ,等號成立。即對這些正數:調和平均數≤幾何平均數≤算術平均數≤平方平均數(方均根)簡記為:“ 調幾算方”。
證明方法
關於均值不等式的證明方法有很多,數學歸納法(第一數學歸納法或反向歸納法)、拉格朗日乘數法、琴生不等式法、排序不等式法、柯西不等式法等等,都可以證明均值不等式,在這裡簡要介紹數學歸納法證明n維形式的均值不等式的方法:
用數學歸納法證明,需要一個輔助結論。
平均數不等式引理:設A≥0,B≥0,則 ,且僅當B=0時取等號。
引理的正確性較明顯,條件A≥0,B≥0可以弱化為A≥0,A+B≥0,可以用數學歸納法證明。
平均數不等式
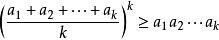
平均數不等式原題等價於: , 若且唯若 時取等號。
當n=2時易證;
平均數不等式
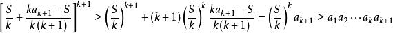
平均數不等式假設當n=k時命題成立,即 , 若且唯若 時取等號。
平均數不等式
平均數不等式
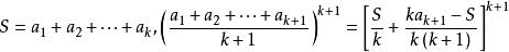
平均數不等式那么當n=k+1時,不妨設 是 中最大者,則 。
平均數不等式設,根據引理
平均數不等式
平均數不等式
平均數不等式,若且唯若時,即時取等號。
利用琴生不等式法也可以很簡單地證明均值不等式,同時還有柯西歸納法等方法。
參見
•算術-幾何平均值不等式
•冪平均不等式
