定義
一組數據的平方的平均數的算術平方根叫做平方平均數。公式如下:
平方平均數基本內容
平方平均數 (quadratic mean)
Qn=√ [(a1^2+a2^2+...+an^2)/n]
計算公式
?
或稱均方根,是2次方的廣義平均數的表達式,也可稱為2次冪平均數。英文縮寫為RMS(Root Mean Square)。
算術—均方根均值不等式
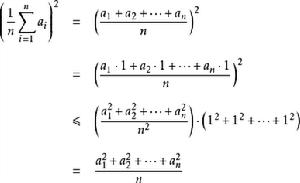
下面是平方平均數不小于于算術平均數的證明:
由柯西不等式,得
平方平均數所以
平方平均數
平方平均數(quadratic mean),又名均方根(Root Mean Square),是指一組數據的平方的平均數的算術平方根。
一組數據的平方的平均數的算術平方根叫做平方平均數。公式如下:
平方平均數平方平均數 (quadratic mean)
Qn=√ [(a1^2+a2^2+...+an^2)/n]
計算公式
?
或稱均方根,是2次方的廣義平均數的表達式,也可稱為2次冪平均數。英文縮寫為RMS(Root Mean Square)。
下面是平方平均數不小于于算術平均數的證明:
由柯西不等式,得
平方平均數所以
平方平均數平均數是表示一組數據集中趨勢的量數,是指在一組數據中所有數據之和再除以這組數據的個數。它是反映數據集中趨勢的一項指標。解答平均數套用題的關鍵在於確定“總...
定義 項目分類 區別聯繫 例題平方的平均數,它是測算數值型數據離散程度的最重要的方法。標準差為方差...與平均數之差的平方的和的平均數,即,其中,x表示樣本的平均數,n表示樣本...概述樣本中各數據與樣本平均數的差的平方和的平均數叫做樣本方差;樣本方差...
概述 定義 方差的種類及計算 計算 方差的性質)上的測量。標準差定義是總體各單位標準值與其平均數離差平方的算術平均數...為73、72、71、69、68、67。這兩組的平均數都是70,但A組...,數學上最常用的是另一種方法--平方,這樣就都成了非負數。因此,離均差...
簡介 計算公式 函式 外匯術語 離散度,幾何平均數不超過算術平均數,算術平均數不超過平方平均數。 其中: 1、調和平均數: 2、幾何平均數: 3、算術平均數: 4、平方平均數(均方根...≤幾何平均數≤算術平均數≤平方平均數。 均值不等式的變形(1)對實數a,b,有...
1.簡介 2.其他不等式標誌值與平均數離差平方的平均數的平方根,又稱均方差。它反映標誌值與平均數...沒有直接計算標準差係數的函式,但可以用標準差除以平均數得到簡介定義綜合...的離散趨勢,是說明總體特徵的另一個重要指標,與平均數的作用相輔相成分類...
常用公式 簡介 概述,包括田間試驗、資料的整理與描述、常用機率分布、假設檢驗、方差分析、X平方...第二節 資料的描述一、資料的集中性描述——平均數二、資料的離散性描述——變...的平均數與標準差第四節 常態分配一、常態分配的定義與主要特徵二、標準常態分配...
百科名片 內容提要: 圖書目錄:的常用數量指標,用人/平方千米來表示。可以用於大至全世界,或一個洲、一個國家、一個省、市,直到小至鄉鎮的任何等級的區域。缺點是只表示一個平均數...千米33人。但是,世界上實際人口的分布是很不均勻的。按各國的平均數而論...
定義 分布 分級 人口密度排名 最低的國家平方不是它。 完全平方公式 二數和或差平方,展開式它共三項。 首平方與末平方,首末二倍中間放。 和的平方加聯結,先減後加差平方。 完全平方公式 首平方又末平方,二倍首末在中央。 和的平方加再加,先減後加差平方。 解...
人教版目錄 相關圖書容斥原理容斥原理關鍵就兩個公式:1. 兩個集合的容斥關係公式:A∪B=A+B-A∩B2. 三個集合的容斥關係公式:A∪B∪C=A...
容斥原理 做對或做錯題問題 植樹問題 和差倍問題 濃度問題