1. 簡介
ASK指的是振幅鍵控方式。這種調製方式是根據信號的不同,調節正弦波的幅度。
幅度鍵控可以通過乘法器和開關電路來實現。載波在數位訊號1或0的控制下通或斷,在信號為1的狀態載波接通,此時傳輸信道上有載波出現;在信號為0的狀態下,載波被關斷,此時傳輸信道上無載波傳送。那么在接收端我們就可以根據載波的有無還原出數位訊號的1和0。對於二進制幅度鍵控信號的頻頻寬度為二進制基帶信號寬度的兩倍。
幅移鍵控法(ASK)的載波幅度是隨著調製信號而變化的, 其最簡單的形式是,載波在二進制調製信號控制下通斷, 此時又可稱作開關鍵控法(OOK)。 多電平MASK調製方式是一種比較高效的傳輸方式,但由於它的抗噪聲能力較差,尤其是抗衰落的能力不強,因而一般只適宜在恆參信道下採用
2. ASK信號和功率譜
數字調製是用一個乘法器實現的。一個二進制數字調幅(2ASK)信號可以表示成一個單極性脈衝序列與一個正弦載波相乘,即:
幅移鍵控式1
幅移鍵控
幅移鍵控
幅移鍵控
幅移鍵控其中: 為基帶形成信號,g(t)為形成濾波器的衝激回響。 為數據序列,而隨機變數 的取值為圖1所示。
ASK的傳送原理圖以及輸出波形如圖2所示。
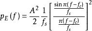
幅移鍵控設矩形波g(t)的傅立葉變換為G(f ),則在矩形調幅時,e(t)的功率譜密度為:
幅移鍵控由此,可以看出:2ASK信號的功率譜密度是由連續譜和離散譜組成。其中連續譜由基帶譜G(f)的連續譜經調製後的雙邊帶確定,而離散譜則由G(f)中的離散譜來確定。2ASK信號的頻寬是基帶信號頻寬的兩倍。
3. 抑制載頻的雙邊帶信號和功率譜密度
用雙極性不歸零碼對載波進行相乘的調製,就能達到抑制載頻的目的。調幅後的信號仍然滿足式1,而a的取值是1和–1,且仍是隨機變數。因為幅度為的雙極性不歸零碼的電壓波形相當於將幅度為A的單極性不歸零碼的電壓波形去掉直流分量後再乘以2。因此,在2ASK信號的“0”和“1”等機率、前後碼元獨立的情況下,其功率譜密度為:
幅移鍵控在接收端利用相干載波通過相乘解調器恢復出基帶信號。
4. 單邊帶和殘餘邊帶調製
ASK信號具有兩個邊帶,都含有相同的信息。
為了提高信道利用率,只需要傳送一個邊帶就能實現信息傳遞。由於基帶信號具有豐富的低頻分量,所以必須在處用銳截止濾波器才能濾除其中的一個邊帶,但是這對濾波器要求比較高。通常是對基帶信號進行某種處理,使其直流為零,低頻分量儘可能小,從而使已調ASK信號的上下邊帶之間有一個明顯的分界,如採用第四類部分回響編碼技術,只要將該信號經相乘調製後,其頻譜既無載頻又使上下邊帶之間有一個明顯分界。這樣就能用普通的濾波器切除一個分量,從而實現單邊帶傳輸,使頻譜利用率是雙邊帶傳輸的兩倍。
殘餘帶調製是介於雙邊帶和單邊帶之間的一種調製方法,它讓已調雙邊帶信號通過一隻殘餘邊帶濾波器,只使它的一個邊帶的絕大部分和另一邊帶的小部分通過,形成所謂的殘餘邊帶調製信號。其頻譜利用率略小於單邊帶調製的。
5. 正交調幅
正交調幅又稱正交雙邊帶調製(QAM),是提高頻帶利用率的調幅方法。
(1)基本原理
正交調幅是由兩路在頻譜上成正交的抑制載頻的雙邊帶調幅所組成的。調製的原理圖如圖3所示:
幅移鍵控
幅移鍵控
幅移鍵控其中A路採用的載波信號是: ,而B路採用的載波信號是:-- 。由於這兩個載波信號的相關係數為0,因此是正交信號。
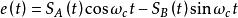
假設A路的基帶信號是S(t),B路的基帶信號是S(t),則整個調製系統的輸出信號為:
幅移鍵控在這種調製方法中,A、B兩路信號都是雙邊帶調製,但是兩路信號同處於一個頻段中,雖然雙邊帶增加一倍頻寬,但是由於可以傳輸兩路信號,於是功率譜利用率與單邊帶傳輸相同,而對傳送濾波器卻沒有特殊的要求。
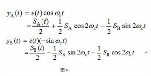
幅移鍵控QAM信號的接收可以採用相干調製。為了簡單起見,假設信道為無失真、頻寬不限、無噪聲的理想信道,接收方收到的信號為e(t)可以通過如圖4所示方法進行解調。
幅移鍵控由圖4式子可知,第一項即為原來的基帶信號,其餘均是高頻信號,所以可以通過低通濾波器將基帶信號恢復出來,以實現正確區分兩路信號。其解調原理框圖如圖5所示。
(2)正交碼的表示方法
正交調製信號可以用矢量和星座表示法來表示。
① 矢量表示法
正交調製可以用矢量的方法來描述。正交調製後的信號e(t)可以寫成合成波的形式:
幅移鍵控式中:
幅移鍵控
幅移鍵控
幅移鍵控
幅移鍵控
幅移鍵控這樣,正交調幅信號可以用矢量來表示。例如,A路送“1”碼時,A路調製器輸出為 ,B路送“1”碼時,B路的調製器輸出為 ,其合成信號為: ;同理,可以得到A路送“0”和B路送“0”,A路送“1”和B路送“0”以及A路送“1”而B路送“0”的四種情況,用矢量表示如圖6所示。
幅移鍵控輸出信號有四種不同的相位,分別代表一對二元碼(AB)。二元碼有4種組合,即00,01,11,10,按照相位旋轉次序分別用0,1,2,3表示(見圖3中括弧內的數字)。
如果將正交調幅系統用於傳送數據碼流,可以在傳送端通過串並變換電路將數據流的奇數位送入A路,偶數位送入B路。這樣接收端在抽樣判決後通過並串變換電路還原為串列碼輸出。
② 星座表示法
所謂星座表示法是一種用矢量的端點來表示信號的方法。因此。在矢量表示法中,如果只畫出矢量的端點,這種圖就是正交調製的星座表示圖。例如,圖5中的星座表示圖如圖7所示。由於,圖中有四個點(星座),所以這種正交調幅信號又稱為4QAM。
如果採用二路四電平碼送到A、B的調製器就能更進一步提高頻譜利用率。由於採用四電平基帶信號,所以每路在星座上有4個點,組成16個點的星座圖,這種正交調製稱為16QAM。同樣也可以將二路八電平碼送到A、B調製器,可以得到64QAM點的星座圖,等等。圖7表示了32QAM以及64QAM的星座圖。
幅移鍵控
幅移鍵控星座圖中各星座(點)之間的距離表示了抗誤碼能力,星座中點的個數表示了頻帶利用率。距離越大表示抗誤碼能力越強;點數越多表示頻帶利用率越高。但是兩者往往是相互矛盾的,星座(點)之間距離越大,星座圖中點數就不會多,因此,雖然其抗誤碼能力高,但是頻帶利用率卻不高。相反,如果星數越多,表明頻帶利用率越高,但是星座之間的距離卻越來越小,因此,抗干擾能力和抗誤碼特性就比較差。
6. 正交調幅信號的功率譜密度和頻譜利用率
正交調幅信號是兩路雙邊帶信號的合成,假設如果兩路隨機數據碼是相互獨立的,則正交調幅信號的功率譜密度就是A路和B路相加,而且都處於相同的頻段中。
表1給出了QAM的頻譜利用率。
幅移鍵控7. 正交調幅中的差分編碼
正交調幅在接收端解調時要求採用與傳送端載波同頻同相的載波,如果在接收端採用的載波信號與傳送端的載波信號不同相(相位模糊),則會產生解調的錯誤,因為在正交調幅系統中,接收端相干載波是從收到的信號中提取的,其相干載波有4種可能的相位。可以採用差分編碼的方法來消除這種錯誤。
