概念
幅度分析指標是由最高價、最低價和收盤價三個重要價位加權平均得到的。幅度分析(HLC)把最高價、最低價和收盤價作為三個重要的價位來處理。
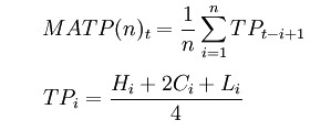
指標構成
t——當日;
n——時間長度;
Ci——第i日的收盤價;
Hi——第i日的最高價;
Li——第i日的最低價。
計算公式(幅度分析):

其中:一般取n=12。
研判法則
1、幅度分析指標由下向上穿越移動幅度分析指標時,是買入信號。
2、幅度分析指標由上向下穿越移動幅度分析指標時,是賣出信號。
注意事項
1、幅度分析指標在移動幅度分析指標之上,二者又向上時,表示升勢持續;幅度分析指標在移動幅度分析指標之下,二者又向下時,表示跌勢持續。
2、幅度分析指標與移動幅度分析指標的交叉信號較為滯後,當幅度分析指標與移動幅度分析指標同時調頭反向時,表示趨勢即將反轉,可不必等到二條指標線發出交叉信號,就可採取行動。

