猜想的最早由來
在一封由喬治·波利亞於1982年1月3日寫給安德魯·奧德里茲科(Andrew Odlyzko)的信中,波利亞提到他於1912年至1914年間在哥廷根時,愛德蒙·蘭道曾詢問過他是否有使得黎曼猜想成立的物理原因。當時波利亞提出,黎曼ζ函式的所有非平凡零點
希爾伯特-波利亞猜想的虛部 t可能對應某一無界自伴算符的特徵值。
而這一猜想最早的文字記錄則由休·蒙哥馬利(Hugh Montgomery)於1973年作出。
1950年代與塞爾伯格跡公式
當波利亞與蘭道討論這一問題時,還沒有什麼證據能夠支持這一猜想。
而到1950年代初,阿特勒·塞爾伯格證明了黎曼曲面長度譜與其拉普拉斯算符特徵值的對偶,被稱為塞爾伯格跡公式。
這一公式與明確公式(explicit formula)之間明顯的相似性增加了希爾伯特和波利亞猜想的可信度。
1970年代與隨機矩陣
1970年代初,蒙哥馬利發現了臨界線上非平凡零點統計分布的規律,被稱為蒙哥馬利對關聯假設(Montgomery's pair correlation conjecture)。他發現非平凡零點之間並不靠近,而是有互相排斥的趨勢。1972年,在他訪問普林斯頓高等研究院時,他將其成果告訴了隨機矩陣專家弗里曼·戴森。
戴森發現蒙哥馬利得到的統計分布規律與隨機厄米矩陣的對關聯分布一致。這種分布在物理中很重要,哈密頓算符特徵態(如原子核的能級)滿足此統計規律。
之後的工作證實了黎曼ζ函式非平凡零點分布與高斯么正系綜(Gaussian unitary ensemble)的隨機厄米矩陣特徵值之間的關聯性,它們都服從同樣的統計規律。
自此,希爾伯特與波利亞的猜想就有了更為堅實的基礎,儘管尚未由此證明黎曼猜想。
現今,作為此方法的發展,阿蘭·科納提出了一個與廣義黎曼猜想等價的跡公式。該公式與塞爾伯格跡公式之間有著相似性。
與量子力學的可能聯繫
希爾伯特-波利亞猜想波利亞最早提出了可能與量子力學有關的希爾伯特-波利亞算符。該算符可表示為,其中H是質量為 m、勢能為 V(x)的粒子的哈密頓算符。
黎曼的猜想等價於哈密頓算符為厄米算符,或者說 V是實的。
根據一階修正的微擾理論,第n特徵態的能量與勢能期望值有關:
希爾伯特-波利亞猜想
希爾伯特-波利亞猜想其中,分別為自由粒子哈密頓算符的特徵值與特徵態。
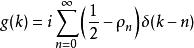
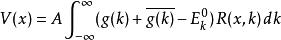
此方程可以看作第一類弗雷德霍姆積分方程。這樣的積分方程可使用預解核的方法求解,因而能夠得到勢能的表達式
希爾伯特-波利亞猜想其中,R(x,k)為預解核,A為一實常數,而
希爾伯特-波利亞猜想
希爾伯特-波利亞猜想
希爾伯特-波利亞猜想其中,為狄拉克δ函式,則為黎曼猜想的非平凡零點。
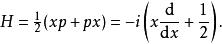
麥可·貝里與喬·基廷(Jon Keating)推測 H實際是經典哈密頓量xp的某種量子化,與 xp相應的最簡單的厄米算符為
希爾伯特-波利亞猜想這一對希爾伯特-波利亞猜想的改進被稱為貝里猜想(Berry conjecture)或貝里-基廷猜想(Berry-Keating conjecture)。
希爾伯特-波利亞猜想
希爾伯特-波利亞猜想然而如今對這一猜想的了解仍不多。貝里與謝拉(Germán Sierra)猜測,既然此算符在膨脹(dilation)下不變,那么對整數 n成立的邊界條件或許可以有助於得到對大數 n下成立的漸近結果。
