
希夫林松公式由於形式簡單,計算方便,工程中經常採用。

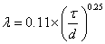
希夫林松公式是計算沿程阻力係數的經驗公式,其表達式如下:其中τ為粗糙度,d為直徑。 希夫林松公式由於形式簡單,計算方便,工程中經常採用。

齋賀光希,日本女性聲優、歌手,埼玉縣出身,所屬事務所為賢Production。以聲優身份在動畫、遊戲、外國影視、旁白等諸多領域活躍。首次出演的正式女性角...
演藝經歷 配音工作 音樂活動的景色似乎沒有分散海因里希•魯道夫•赫茲(Heinrich Rudolf...的波波夫(Aleksandr Popov)也在無線通訊領域做了同樣的貢獻...
《上帝擲骰子嗎》 序 第一章 黃金時代 第二章 烏雲 第三章 火流星北至大寧堡九十里廣寧縣界西北至松嶺門九十里邊界東西相距一百七十里南北相距...省軍縣名止稱錦州隸大寧路明置廣寧中左右三屯衛及松山大淩河二千戶所國朝康熙...老和尚臺九十里寧遠州界東北至大寧堡九十里廣寧縣界西北至松嶺門九十里邊界寧...
目錄 正文 相關詞條 參考資料的兩個夥伴森田延次郎和林伊三郎立即覺得前途渺茫,重新做公司雇員 ...
本書億萬富豪簡歷表 目錄 你也能成功--獲取財富的八大要素 安德魯·卡內基劇情簡介幾十年來,綽號“紅魔”的前軍事情報官員Raymond Reddington一直是聯邦調查局通緝犯名單上的重要人物。他為全...
劇情簡介 分集劇情 演職員表 幕後花絮 獲獎記錄演藝經歷 齋賀光希 從小就已經志願當聲優,19歲時被野村道子發掘...×kazuya”,2006年,樂隊名變更為“齋賀光希feat.JUST...外傳(納斯卡) 陰陽大戰記(山瀨) 今天開始做魔王(保魯夫拉姆) 保魯夫拉...
演藝經歷 配音工作 音樂活動演藝經歷 齋賀光希 從小就已經志願當聲優,19歲時被野村道子發掘...×kazuya”,2006年,樂隊名變更為“齋賀光希feat.JUST...外傳(納斯卡) 陰陽大戰記(山瀨) 今天開始做魔王(保魯夫拉姆) 保魯夫拉...
演藝經歷 配音工作 音樂活動此詞條暫無內容,歡迎您參與編輯,享受分享貢獻知識的樂趣。建議您在編輯詞條之前,可先參考幫助中心文檔,了解更多關於詞條規範的信息...
劇情簡介 生活大爆炸第四季 生活大爆炸主演 生活大爆炸主人公Leonard(JohnnyGalecki, "Roseanne")...
劇情簡介 分集劇情 演職員表 角色介紹 音樂原聲