定義
物理大地測量學中的基本公式。即由擾動位計算大地水準面起伏的公式,即
布隆斯公式
布隆斯公式式中γ為平均橢球體表面的正常重力,可用全球平均值 代替;T為大地水準面上的擾動位。
推導
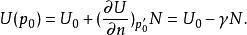
圖1 大地水準面與地球橢球體面如圖1所示,設p在大地水準面上,它在地球橢球體面上的投影為p',兩點之間的距離為N,它稱為大地水準面相對於地球橢球體面的高,是一個不大於150米的變數。
大地水準面上p點的重力位為:
布隆斯公式式中,U(p)是p點的正常重力位,T(p)是相應的擾動位。
而地區橢球體面上p點的正常重力位為:
布隆斯公式又
布隆斯公式由以上三式得:
布隆斯公式所以
布隆斯公式這就是著名的布魯斯公式。它建立了擾動位和大地水準面起伏之間的關係,是重力學的基本公式之一。
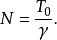
求大地水準面高度
以布魯斯公式為出發公式,式中γ是已知量,所以只要給出由重力異常⊿g求T的具體形式,問題也就解決了。T可以有級數形式,也可以有積分形式。因此求大地水準面高度的公式也有級數形式和積分形式。
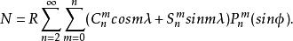
級數形式
布隆斯公式
布隆斯公式式中,r為大地水準面到地心的距離,接近於1,所以上式變成
布隆斯公式
布隆斯公式作為球近似,,於是上式近似形式為
布隆斯公式以上三式便是求大地水準面高度的級數公式。由於目前所求得的球諧函式係數,無論是階次還是精度都滿足不了本問題的要求,所以有必要推導積分公式。
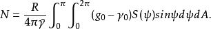
積分形式
根據本問題的精度要求,得到
布隆斯公式這就是求大地水準面高度的斯托克司積分公式。只要我們已知整個大地水準面的(g-γ),就可以用數值積分法求出大地水準面的高度N。
