定理定義
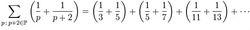
設 P( x)為滿足 p ≤ x的素數數目,使得 p + 2也是素數(也就是說, P( x)是孿生素數的數目)。那么,對於 x ≥ 3,我們有:
布朗定理其中 c是某個常數。
驗證推導
從這個結果可以推出,所有孿生素數的倒數之和收斂;也就是說,以下的級數
布朗定理是收斂的,它的值稱為布朗常數。假如它是發散的,那么就可以推出孿生素數有無窮多個;但如果它收斂,我們就仍然不知道孿生素數是否有無窮多個。
套用例子
管理啟示
在美國某州公路上急馳著一輛麵包車。這個州發生了水災,糧食緊張,麵包脫銷,到處缺貨。汽車走到半路上,被飢餓的人們發現,車子被團團圍住,人們搶著要買車上的麵包。押貸員感到十分為難,說怎么也不會把過期的麵包賣給這些人。
這時,恰巧有記者跑來,探詢發生的事情。
他們一聽,覺得有趣,一方是急需購買麵包,一方是押貨員礙於公司規定,怎么也不賣車上過期的麵包。
“不是我不肯賣,”押貨員說,“我們老闆規定太嚴格,她規定不論在任何時候、任何情況下,也不許賣過期麵包。如果有人明知故犯,把過期麵包賣給了顧客,一律開除。我要是把過期麵包賣給他們,我的飯碗就給砸了呀!”
他的話雖然能引起人們的同情,但怎么能止得住飢餓者們往外直冒的口水?
記者說:“先生,現在是非常時期,你就把這車麵包賣了吧,總不能讓這些飢餓者失望吧!”
押貨員無奈,靈機一動,以神秘的表情,湊到記者面前說:“賣,我是說什麼也不敢的,如果他們強行上車去拿,我就沒責任了。”
“那豈不是搶劫嗎?”記者說。
“他們把麵包強行拿走,憑良心留下應交的幾個錢,豈不就不是搶劫,而是強買嗎?”
大家恍然大悟。片刻,一車麵包就這樣被強買光了。幾天后,這條訊息便在報上詳細披露出來了。這家麵包公司的信譽陡然上升。
點評
押貨員的巧妙舉動不僅對公司是無害的,而且相反,他大大地增加了公司的美譽度。公司的管理制度必須要遵守,但是在特別時期,執行起來應該更聰明一點。

