巨正則配分函式
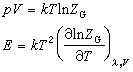
巨正則配分函式與體系的熱力學函式之間的關係為:
在巨正則系綜中,具有粒子數ni,能量Ei的體系出現的幾率為:

表示具有粒子數為ni,能量為Ei的體系數;W(ni,Ei)表示粒子數為ni,能量為Ei的體系的微觀態數。
巨正則配分函式(英語:Partition function)是一個平衡態統計物理學中經常套用到的概念,經由計算配分函式可以將微觀物理狀態與巨觀物理量相互聯繫起來,而配分函式等價於自由能,與路徑積分在數學上有巧妙的類似。


表示具有粒子數為ni,能量為Ei的體系數;W(ni,Ei)表示粒子數為ni,能量為Ei的體系的微觀態數。正則配分函式 16獨立離域於體系的正則配分函式 17巨正則系綜 18巨正則系綜和熱力學 19巨正則配分函式 110微正則系綜... 第四章非理想氣體 41非理想氣體的正則配分函式及構型積分 42非...
統計系綜3.1 正則系綜3.1.1 正則系綜與正則配分函式3.1.2 正則配分函式與熱力學量的關係3.1.3 正則配分函式在經典統計力學相空間中的形式3.2 巨正則系綜3.2.1 巨正則系綜和巨正則配分函式3.2.2...
內容簡介 作者簡介 圖書目錄正則系綜和正則配分函式27-2 正則配分函式和熱力學函式27... 巨正則系綜和巨配分函式28-2 巨配分函式和熱力學函式28-3...
內容介紹 本書目錄正則系綜 27-1 正則系綜和正則配分函式 27-2 正則配分函式和... 28-1 巨正則系綜和巨配分函式 28-2 巨配分函式和...
圖書信息 內容簡介 目錄的簇展開表示巨正則配分函式能展開為單體(理想氣體)、兩體、多體(簇...統計方法可以研究非理想氣體的性質。先把巨配分函式的對數展成級數,再根據它...
由來 推導 表示展開表示巨正則配分函式能展開為單體(理想氣體)、兩體、多體(簇)相互作用...的相互作用引起的。套用統計方法可以研究非理想氣體的性質。先把巨配分函式的對數...
釋義 維里係數的由來 推導過程