定義
山路引理
山路引理山路引理設 是Banach空間, 滿足
山路引理
山路引理
山路引理(i) ,存在 使得 ;
山路引理
山路引理(ii) 存在 使得 。
山路引理
山路引理令 是 中聯結0與e的道路的集合,即
山路引理再記
山路引理
山路引理
山路引理
山路引理
山路引理那么, , 關於c有臨界序列。如果 再滿足P-S條件,則c是 的臨界值。
山路引理的證明
形變定理
山路引理
山路引理
山路引理
山路引理
山路引理設 ,c∈R。如果 關於c沒有臨界序列,則存在 ,使得:對任意 ,存在滿足下列條件的函式 :
山路引理1° ;
山路引理2° 關於t是單調減函式,特別地有
山路引理
山路引理
山路引理3° 當 ;
山路引理
山路引理
山路引理4° 是 的同胚(對任意取定的 );
山路引理5° ;
山路引理6° ;
山路引理
山路引理7°如果 為偶泛函,則 對u為奇運算元(t取定時)。
引理
山路引理
山路引理
山路引理
山路引理設 ,如果 滿足P-S條件,且 關於c有臨界序列,則c為 的臨界值。
證明過程
山路引理
山路引理
山路引理
山路引理
山路引理證明: 任取 ,由於 連續,因而 , 再由(2)知 ,又對任意 ,由條件(ii)及(i)有
山路引理
山路引理
山路引理
山路引理根據 的連續性知道,存在 ,使得 ,因此由(i)得
山路引理
山路引理從而由(2)得 。
山路引理
山路引理
山路引理
山路引理
山路引理
山路引理假如 關於c沒有臨界序列,由形變定理,存在 ,當 時,存在 具有性質1°~6°。對 ,由(2)知道:存在 使得
山路引理
山路引理考慮 ,由於
山路引理由性質3°得出
山路引理
山路引理
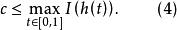
山路引理因此 ,從而由(2)有
山路引理由(3)及性質6°得
山路引理即
山路引理
山路引理
山路引理
山路引理此式與(4)相矛盾,故 關於c有臨界序列。如果 再滿足P-S條件,由引理得出; c是 的臨界值。證完。

