計算方法
當工藝基準與設計基準不重合時,將產生基準不重合誤差,導致加工精度的提高,加工難度、生產成本的增加,甚至使加工精度難以保證其設計要求,從而導致加工方法、設計方案等的改變。然而,基準不重合在機械加工工藝過程中又是難免的。要避免加工中基準不重合造成的上述後果,可以採用實際尺寸計算法來代替理論極值法或機率法,進行工藝尺寸鏈的解算。
實際尺寸計算法是在極值法理論的基礎上發展而成,但和極值法比較,大大縮小了各組成環的公差,降低了加工難度,提高了生產效率,是機械零件加工中解尺寸鏈的一種好方法。如果尺寸鏈的全部尺寸必須在兩道工序內完成,由於需要測實際尺寸並計算,因而在大批生產中將受到限制。
計算公式
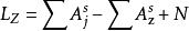
實際尺寸計算法的關鍵就是計算出終前環的公稱尺寸及其上、下偏差。參照極值法的計算公式,並根據上述理論,可以得出終前環的計算公式:
實際尺寸
實際尺寸BL=BN,BL=BN,BL=-BN,BL=-BN;
公式中:
L—終前環為增環時的公稱尺寸
L—終前環為減環時的公稱尺寸
BL—終前環為增環時的上偏差
BL—終前環為增環時的下偏差
BL—終前環為減環時的上偏差
BL—終前環為減環時的下偏差
N—終結環的公稱尺寸
BN—終結環的上偏差
BN—終結環的下偏差
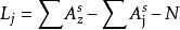
實際尺寸對應的除終前環外其它增環的實際尺寸為:
實際尺寸對應的除終前環外其它減環的實際尺寸為:
其計算公式的特點:
1.終前環的公稱尺寸採用組成環的實際尺寸與終結環的公稱尺寸代入公式計算而得。
2.終前環的上、下偏差由終結環的上、下偏差代入公式而得,其公差等於終結環公差。
3.其它組成環按照設計要求進行加工。
實際套用
採用實際尺寸計算法可以使終前環的加工要求精度降低,加工難度減小。同時,也不必壓縮其餘組成環的設計尺寸和公差。從而使總的生產成本得以降低,質量得到保證。但是,採用實際尺寸計算法,必須待終前環前各個組成環加工完畢後,測量出各組成環的實際尺寸,才能計算得出終前環的工序尺寸及上下偏差,這就給加工,測量、計算工作都帶來了不便。這也是常規工藝規程,尤其是大批大量生產情況下,工藝尺寸鏈的計算不便採用此種方法的原因。隨著現代製造技術的發展及套用,企業的生產方式將發生根本的轉變。尤其是隨著CAPP與CAT、CAI技術的逐步完善與走向實用,使機械加工中工藝尺寸的計算,加工,檢測等工作,都由計算機輔助來實現。這就為實際尺寸計算法的套用打下了堅實可行的基礎。
各組成環工序尺寸的檢測
各組成環加工後,工序尺寸的檢測可通過機械加工中的線上檢測或加工間檢測技術來實現。即:在終前環加工前、各組成環加工後,設定一個測試工位,該測試工位屬於CAI系統的一部分,以實現多尺寸線上自動檢測與質量加工分析。一方面,此測試工位對被檢測零件的前面各有關工序的加工精度進行相關分析和處理;另一方面,它可通過單元控制器與上一級計算機聯網,將所測得的數據反饋到CAPP系統中,進行信息的交流和數據的處理。之後,再將信息反饋回加工生產中,指導終前環工序的加工,實現實際尺寸計算法的具體套用。
終前環工序尺寸及上下偏差的計算
終前環工序尺寸及上下偏差的計算,可通過CAPP系統中的一個子程式來完成。當終前環前各組成環尺寸加工完畢後,通過CAI中的測試工位將所測得的各組成環實際尺寸4通過單元控制器反饋回CAPP系統中,算出終前環工序尺寸及上下偏差後,發出指令,指導CNC最後加工出該零件。

