簡介
在數學中,連續型隨機變數的機率密度函式(在不至於混淆時可以簡稱為密度函式)是一個描述這個隨機變數的輸出值,在某個確定的取值點附近的可能性的函式。
性質
這裡指的是一維連續隨機變數,多維連續變數也類似。
隨機數據的機率密度函式:表示瞬時幅值落在某指定範圍內的機率,因此是幅值的函式。它隨所取範圍的幅值而變化。
密度函式f(x) 具有下列性質:
密度函式① ;
密度函式②
密度函式③
常見定義
密度函式對於一維實隨機變數 X,設它的累積分布函式是 ,如果存在可測函式 ,滿足:
密度函式那么 X是一個連續型隨機變數,並且 是它的機率密度函式。
連續型隨機變數的機率密度函式有如下性質:
如果機率密度函式 f X( x)在一點 x上連續,那么累積分布函式可導,並且它的導數:
密度函式由於隨機變數 X的取值只取決於機率密度函式的積分,所以機率密度函式在個別點上的取值並不會影響隨機變數的表現。更準確來說,如果一個函式和 X的機率密度函式取值不同的點只有有限個、可數無限個或者相對於整個實數軸來說測度為0(是一個零測集),那么這個函式也可以是 X的機率密度函式。
連續型的隨機變數取值在任意一點的機率都是0。作為推論,連續型隨機變數在區間上取值的機率與這個區間是開區間還是閉區間無關。要注意的是,機率P{x=a}=0,但{ X= a}並不是不可能事件。
例子
密度函式最簡單的機率密度函式是均勻分布的密度函式。對於一個取值在區間[ a, b]上的均勻分布函式 ,它的機率密度函式:
密度函式也就是說,當 x不在區間[ a, b]上的時候,函式值等於0;而在區間[ a, b]上的時候,函式值等於這個函式
密度函式這個函式並不是完全的連續函式,但是是可積函式。
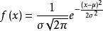
常態分配是重要的機率分布。它的機率密度函式是:
密度函式隨著參數μ和σ變化,機率分布也產生變化。
特徵函式
對機率密度函式作傅立葉變換可得特徵函式。
特徵函式與機率密度函式有一對一的關係。因此知道一個分布的特徵函式就等同於知道一個分布的機率密度函式。
