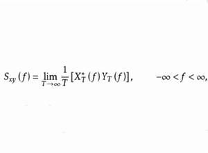
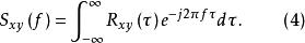
互譜密度函式的定義
互譜密度函式的定義,數學上可描述為
互譜密度函式
互譜密度函式
互譜密度函式
互譜密度函式
互譜密度函式
互譜密度函式由於互譜密度函式的推導方法與自譜密度函式相同,它們的差別只是 是信號x(t)的自乘,而 是信號 與的互乘。應當注意的是,因為 與 一般不是互為共軛,所以 為複數性質。
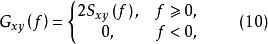
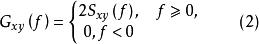
互譜的單邊譜為
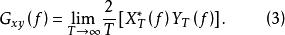
互譜密度函式由式(2)互譜密度函式也可以描述為
互譜密度函式互譜密度函式的性質
互譜密度函式1. 的數學屬性
互譜密度函式
互譜密度函式
互譜密度函式因為一般 與 是複數且不是互為共軛,所以 為複數性質。
互譜密度函式2. 的共軛變數交換性
證明:
互譜密度函式
互譜密度函式
互譜密度函式
互譜密度函式
互譜密度函式式中: 下標表示兩個測量信號的隨機變數x、y,該式表明, 數值上等於兩個信號x、y的信道互相交換後其應對的互譜密度函式 取共軛的結果。
3.互譜密度函式與互相關函式的關係
互譜密度函式
互譜密度函式與 關係類似,可以得到 也是一個傅立葉變換對,即有
互譜密度函式4.互譜密度函式的振幅和相位
互譜密度函式
互譜密度函式1)共譜密度函式 和重譜密度函式
由互譜密度函式與互相關函式的關係得
互譜密度函式
互譜密度函式
互譜密度函式
互譜密度函式其中:共譜密度函式 為實部,重譜密度函式 為虛部。有
互譜密度函式
互譜密度函式2)互譜密度函式的振幅和相位
由式(5)、式(6)和式(7),可把互譜密度函式寫成複數表示式,有
互譜密度函式
互譜密度函式
互譜密度函式式中: 和 分別為互譜密度函式的振幅和相位,有
互譜密度函式振幅:
互譜密度函式相位:
互譜密度函式3)相位 的含義
互譜密度函式
互譜密度函式
互譜密度函式
互譜密度函式由時域中的時延將引起頻域中的相移,可推斷出 的含義: 為反映信號y(t)相對信號x(t)時延方面的信息, 為正,意味著在頻率 處信號y(t)落後於信號x(t),反之亦然。
互譜密度函式5. 的證明
互譜密度函式
互譜密度函式由傅立葉譜關於f=o軸共軛對稱的性質,有 和 ,將它們的左邊和右邊分別相乘後,得
互譜密度函式
互譜密度函式再將互譜密度函式的共軛變數交換性 代入上式,得
互譜密度函式
互譜密度函式
互譜密度函式由此看出, 與 一樣,也具有關於f=0軸共軛對稱的性質。根據互譜密度函式的振幅為取摸概念,對於雙邊譜的振幅有
互譜密度函式取摸後為關於f=0軸對稱,所以互譜的單邊譜可描述為
互譜密度函式
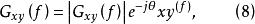
互譜密度函式互譜的單邊譜為複數性質,也可描述為 。

