寄生調幅產生的原因
寄生調幅為了討論寄生調幅問題,我們選用如圖1所示的典型採集系統,假定系統輸入信號 為單一頻率的正弦波,系統增益為1。
圖1 典型的採集系統框圖設:
寄生調幅
寄生調幅
寄生調幅其中, 。當採樣信號頻率與被採樣信號頻率成整數倍關係時,對被採樣信號來說,每個周期的採樣點個數是一樣的,對應點的相位是不變的。因此, 採樣所得信號的幅值是一個穩定的值。
寄生調幅當採樣信號頻率大於被採樣信號頻率兩倍時,輸出信號不會產生假頻,採樣輸出信號頻率與被採樣信號頻率相等。
寄生調幅但由於採樣效應的存在, 採樣輸出信號的幅值的隨機性所決定的。採樣後信號幅度誤差的機率分一般總是小於被採樣信號的幅值。
寄生調幅這是由於採樣信號與被採樣信號之間初始相位的隨機性所決定的。採樣後信號幅度誤差的機率分布如表1所示。
表1 採樣後信號幅值誤差機率分布表
寄生調幅 | 最大採樣誤差(%) | 採樣誤差機率分布(P) | 寄生調幅 | 最大採樣誤差(%) | 採樣誤差機率分布(P) | ||||||
| >5% | <5% | >5% | 5~4% | 4~3% | 3~2% | 2~1% | <1% | ||||
| 10 | 4.84 | 0 | 0.07 | 0.13 | 0.14 | 0.15 | 0.51 | ||||
| 2 | 100.00 | 0.82 | 0.18 | 20 | 1.21 | 0 | 0 | 0 | 0 | 0.11 | 0.89 |
| 3 | 49.72 | 0.78 | 0.22 | 30 | 0.54 | 0 | 0 | 0 | 0 | 0 | 1 |
| 4 | 29.17 | 0.69 | 0.31 | 40 | 0.30 | 0 | 0 | 0 | 0 | 0 | 1 |
| 5 | 18.13 | 0.48 | 0.52 | 50 | 0.20 | 0 | 0 | 0 | 0 | 0 | 1 |
| 6 | 13.00 | 0.37 | 0.63 | 60 | 0.13 | 0 | 0 | 0 | 0 | 0 | 1 |
| 7 | 9.81 | 0.31 | 0.69 | 70 | 0.10 | 0 | 0 | 0 | 0 | 0 | 1 |
| 8 | 7.56 | 0.29 | 0.71 | 80 | 0.07 | 0 | 0 | 0 | 0 | 0 | 1 |
| 9 | 0.98 | 0.11 | 0.89 | 90 | 0.06 | 0 | 0 | 0 | 0 | 0 | 1 |
| 10 | 4.84 | 0 | 1 | 100 | 0.05 | 0 | 0 | 0 | 0 | 0 | 1 |
寄生調幅
寄生調幅
寄生調幅當採樣信號頻率與被採樣信號頻率不成整數倍關係時, 對被採樣信號來說, 每個周期內的採樣點數可能是不一樣的, 其對應點的相位是不同的。因此,採樣輸出信號幅值是隨時間呈周期性變化的, 而不再是一個穩定的值 ,其中 的最大值等於被採樣信號得幅值,即 .
圖2 寄生調幅波產生原因示意圖這種由於採樣產生的信號幅值的變化, 是我們所不期望的, 這種信號幅值變化是寄生在採樣過程中的。又由於採樣信號頻率與被採樣信號頻率不成整數倍關係, 其採樣輸出信號的幅值變化與調幅波有些類似, 因此, 我們稱這種幅度變化為 寄生調幅。
當採樣信號頻率與被採樣信號頻率不成整數倍關係時, 對被採樣信號每個周期的採樣點相位是不一樣的, 這可以從圖2 中直觀地看出。
寄生調幅波形特點
圖3 給出了實測的幾種典型寄生調幅波形圖。
圖3 實測典型寄生調幅波形圖從圖3 中可以直觀地看出, 當採樣信號頻率與被採樣信號頻率不成整數倍關係時, 其產生的寄生調幅波有如下特點:
1、寄生調幅波的包絡線類似於整流正弦波;
2、當採樣信號頻率與被採樣信號頻率接近偶數倍時, 寄生調幅波是正負對稱的( 這是由於對採樣信號正負半周採樣個數相等造成的) ;
3、當採樣信號頻率與被採樣信號頻率接近奇數倍時, 寄生調幅波幅波振幅正負是不對稱的(這是由於對被採樣信號正負半周採樣個數不同造成的) ;
4、當採樣信號頻率與被採樣信號頻率之比越大時, 寄生調幅幅度越小, 反之亦然( 這與表1 的計算結果是一致的)。
寄生調幅的調製度與寄生調幅頻率的計算
寄生調幅調製度的計算
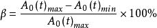
寄生調幅若將寄生調幅的調製度 定義為:
寄生調幅
寄生調幅
寄生調幅式中, 為採樣輸出最大幅值; 為採樣輸出最小幅值。
寄生調幅寄生調幅的調製度是 的函式。表l 中最大採樣誤差即為寄生調幅的調製度。
寄生調幅波包絡線頻率的計算
寄生調幅在實際設計數位化信號採集系統時, 採樣信號頻率fs 至少大於兩倍的被採樣信號頻率( ), 即
寄生調幅
寄生調幅
寄生調幅
寄生調幅
寄生調幅
寄生調幅式中, 為採樣信號頻率, 為被採樣信號頻率,N為正整數(N>=2), 為 的餘數,且 .
寄生調幅波的調製頻率可由下式確定:
寄生調幅
寄生調幅
寄生調幅
寄生調幅
寄生調幅
寄生調幅其中, 為寄生調幅波包絡線頻率; 為 的餘數;為被採樣信號頻率;上式表明, 當等於零時, 寄生調幅波包絡線頻率為零, 即沒有寄生調幅現象產生。當不等於零時, 即不成整數倍關係時, 則會產生寄生調幅現象。
