學習方法
完全平方公式的轉換公式特徵(重點)
學會用文字概述公式的含義:
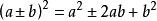
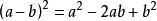
兩數和(或差)的平方,等於它們的平方和,加上(或減去)它們的積的2倍。叫做完全平方公式.為了區別,我們把前者叫做兩數和的完全平方公式,後者叫做兩數差 的完全平方公式。
這兩個公式的結構特徵:
1.左邊是兩個相同的二項式相乘,右邊是三項式,是左邊二項式中兩項的平方和,加上或減去這兩項乘積的2倍;
2.(註:這裡說項時未包括其符號在內).
3.公式中的字母可以表示具體的數(正數或負數),也可以表示單項式或多項式等數學式.
公式口訣
首平方,尾平方,首尾乘積的二倍放在中間。
或首平方,尾平方,兩數二倍在中央。
完全平方公式也可以是:首平方,尾平方,積的二倍放中央。
同號加、異號減,符號添在異號前。(可以背下來)
完全平方公式即
完全平方公式(注意:後面一定是加號)
公式變形
變形的方法
(一)、變符號:
例1:運用完全平方公式計算:
完全平方公式(1)
完全平方公式(2)
分析:本例改變了公式中a、b的符號,以第二小題為例,處理該問題最簡單的方法是將這個式子中的(-a)看成原來公式中的a,將(-b)看成原來公式中的b,即可直接套用公式計算。
解答:
完全平方公式(1)原式=
完全平方公式(2)原式=
(二)、變項數:
完全平方公式例2:計算:
完全平方公式
完全平方公式分析:完全平方公式的左邊是兩個相同的二項式相乘,而本例中出現了三項,故應考慮將其中兩項結合運用整體思想看成一項,從而化解矛盾。所以在運用公式時,(3a+2b+c) 可先變形為 ,直接套用公式計算。
完全平方公式解答:原式=
(三)、變結構
例3:運用公式計算:
完全平方公式(1)
完全平方公式(2)
完全平方公式(3)
分析;本例中所給的均是二項式乘以二項式,表面看外觀結構不符合公式特徵,但仔細觀察易發現,只要將其中一個因式作適當變形就可以了。
解答:
完全平方公式(1)原式=
完全平方公式(2)原式=
完全平方公式(3)原式=
套用
例4:計算:
完全平方公式(1)
完全平方公式(2)
分析:本例中的999接近1000,100.1接近100,故可化成兩個數的和或差,從而運用完全平方公式計算。
解答:
完全平方公式(1)原式=
完全平方公式(2)原式=
公式的變形:熟悉完全平方公式的變形式,是相關整體代換求知值的關鍵。
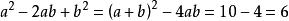
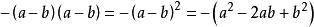
例5:已知 實數 a、b滿足(a+b)=10,ab=1。
求下列各式的值:
完全平方公式(1) ;
完全平方公式(2)
分析:此例是典型的 整式 求值問題,若按常規思維把a、b的值分別求出來,非常困難;仔細探究易把這些條件同完全平方公式結合起來,運用完全平方公式的變形式很容易找到解決問題的途徑。
解答:
完全平方公式(1)原式=
完全平方公式(2)原式=
注意事項
1.左邊是一個二項式的完全平方。
2.右邊是二項平方和,加上(或減去)這兩項乘積的二倍,a和b可是數,單項式,多項式。
3.不論是(a+b)還是(a-b),最後一項都是加號,不要因為前面的符號而理所當然的以為下一個符號。
4.不要漏下一次項
5.切勿混淆公式
6.運算結果中符號不要錯誤
7.變式套用難,不易於於掌握
8.最重要的是做題小心謹慎

