基本介紹
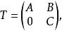
從群的高維表示得到低維表示的過程,稱為表示的 約化(reduction of representation)。但不是任何表示都可以約化,只有當表示空間可以分解出這樣的子空間,在其上也可建立群的同態映射,給出群的表示時,表示才可約化。通常把這樣的子空間稱為 不變子空間(invariant subspace)。如果某一個表示空間至少有一個不變子空間(除表示空間本身和零空間外),則群在這個表示空間上的表示是 可約的,稱為 可約表示(reducible representation)。這時,表示矩陣的形式可以寫為:
完全可約表示
完全可約表示
完全可約表示
完全可約表示
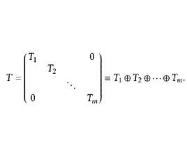
完全可約表示式中為群在那個不變於空間中的表示矩陣。注意,在上述定義中並不要求和對應的子空間是不變子空間,也就是說,在上式中不要求。如果一個群有一個不變子空間,而它的補空間不是不變子空間(相當於上式中),則稱這個表示為 可約的但不完全可約。反之,如果一個表示空間可以分解為若干個不變子空間的直和,則稱這一表示為 完全可約表示(fully reducible representation)。完全可約表示的矩陣一般地可以寫為:
完全可約表示也就是說,表示矩陣可以寫為在各個不變子空間上的表示矩陣的直和。另一種情況是,一個表示空間除表示空間本身和零空間外,沒有任何一個不變子空間,這種表示稱為 不可約表示 。
相關結論
一個完全可約表示可以分解成若干個不可約表示的直和,這樣,關於群表示的研究就歸結為對較簡單的不可約表示的研究。因此,在群論里,表示的約化是一個重要課題。在粒子物理中,系統的對稱性群在希爾伯特空間,上表示的約化,就相應於把粒子的狀態分為若干多重態,而每一個多重態用一個相應的不可約表示描述,因而表示的約化是按對稱性對粒子進行分類的有效工具。
完全可約表示因為可約表示是由不可約表示組成,所以在給定一個群時,我們要知道有哪些不等價不可約表示。在群論中證明了下面的定理。
完全可約表示
完全可約表示
完全可約表示
完全可約表示定理 群的不等價不可約表示數等於群所含的類數。令第個不可約表示的維數為,則有
完全可約表示
完全可約表示
完全可約表示這裡為群的價。
概念的提出與群表示論
群表示論(group representationtheory)是用具體的線性群(矩陣群) 來描述群的理論,是研究群的最有力的工具之一。
早在1854年,英國數學家凱萊就指出,任何有限抽象群都能用一個置換群來表示。若爾當在1878年首創置換群的線性變換表示,即把置換群用形如
完全可約表示的線性變換來表示。他的工作在19世紀末至20世紀初由弗羅貝尼烏斯和伯恩塞德等人推廣到一切有限抽象群的表示之中。
弗羅貝尼烏斯對有限群引進了 可約和完全可約表示的概念,而且證明了一個正則表示(正則表示的概念由美國數學家C.S.皮爾斯在1879年引進) 包含所有不可約表示。他在1897-1910年間還證明了許多其他結果。例如,僅存在少數幾個不可約表示,其他所有表示都是由它們合成的。他的工作被德國數學家舒爾所改進。伯恩塞德在20世紀初獨立地開創了群表示論的工作。他在1905年給出了一個群可約時,其n個變數的線性變換群的係數所應滿足的一個充要條件,有限群的表示理論已經引出了抽象群的一系列重要定理。在20世紀上半葉,群表示理論已經推廣到連續群 。

