公式推導
孔隙壓力係數B
孔隙壓力係數B
孔隙壓力係數B
孔隙壓力係數B根據三軸壓縮試驗的結果,通過引用孔隙壓力係數A和B,就可以建立軸對稱應力狀態下孔隙壓力大小與大、小主應力之間的關係。圖1表示了圖中孔隙壓力的發展,設一土單元在各向相等的有效應力作用下固結,初始孔隙水壓力=0,意圖是模擬試樣的原位壓力狀態。如果受到各向相等的壓力的作用,孔隙壓力的增長為,有效應力的增長為:
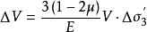
孔隙壓力係數B根據彈性理論,如果彈性材料的彈性模量和泊松比分別為E和μ,在各向應力相等而無剪應力的情況下,土體積的變化為
孔隙壓力係數B
孔隙壓力係數B將代入上式可得:
孔隙壓力係數B
孔隙壓力係數B
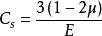
孔隙壓力係數B式中,——土骨架的三向體積壓縮係數,;它是土體在三軸壓縮試驗中土骨架體積應變和圍壓增量的比值;
V——試樣體積。
孔隙壓力係數B土孔隙中由於增加了孔隙壓力,使土中氣和水壓縮,其壓縮量為
孔隙壓力係數B式中,n——土的孔隙率;
孔隙壓力係數B——孔隙的三向體積壓縮係數,它是土體在三軸壓縮試驗中孔隙體積應變與圍壓增量的比值。
孔隙壓力係數B
孔隙壓力係數B由於土固體顆粒的壓縮量很小,可以認為土體積的變化等於孔隙體積的變化。
孔隙壓力係數B
孔隙壓力係數B由式和可得:
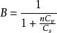
孔隙壓力係數B整理後得
孔隙壓力係數B
孔隙壓力係數B式中,B為在各向應力相等條件下的孔隙壓力係數,稱為孔隙壓力係數B。它是在等向壓縮應力狀態時,單位圍壓增量所引起的孔隙壓力增量。
圖1特點
孔隙壓力係數B
孔隙壓力係數B對於飽和土,孔隙中完全充滿水,由於水的壓縮性比土骨架的壓縮性小得多,,因而B=1,故;
孔隙壓力係數B對於乾土,故B=0;
對於非飽和土,0<B<1,土的飽和度越小,B值也越小。

