三軸壓縮試驗
試驗設備
三軸壓縮儀由壓力室、軸向加荷系統、施加周圍壓力系統、孔隙水壓力量測系統等組成。如圖1所示,壓力室是三軸壓縮儀的主要組成部分,它是一個有金屬上蓋、底座和透明有機玻璃圓筒組成的密閉容器。
圖1試驗方法
孔隙壓力係數A
孔隙壓力係數A
孔隙壓力係數A
孔隙壓力係數A
孔隙壓力係數A
孔隙壓力係數A
孔隙壓力係數A將土切成圓柱體套在橡膠膜內,放在密封的壓力室中,然後向壓力室內充水,使試件在各向受到周圍壓力 ,並使液壓在整個試驗過程中保持不變,這時試件內各向的三個主應力都相等,因此不產生剪應力(圖2a)。然後再通過傳力桿對試件施加豎壓力,這樣,豎向主壓力就大於水平向主壓力,當水平向主壓力保持不變,而豎向主壓力逐漸增大時,試件終於受剪而破壞(圖2b)。設剪下破壞時由傳力桿加在試件上的豎向壓應力增量為 ,則試件上的大主應力為 ,而小主應力為 ,以( )為直徑可畫出一個極限應力圓,如圖2c中圓A,用同一種土樣的若干個試件(三個及三個以上)按上述方法分別進行試驗,每個試件施加不同的周圍壓力,可分別得出剪下破壞時的大主應力,將這些結果繪成一組極限應力圓,如圖2c中的圓A、B和C。由於這些試件都剪下至破壞,根據莫爾-庫倫理論,作一組極限應力圓的公共切線,為土的抗剪下強度包線,通常近似取為一條直線,該直線與橫坐標的夾角為土的內摩擦角φ,直線與縱坐標的截距為土的粘聚力c。
如果量測試驗過程中的孔隙水壓力,可以打開孔隙水壓力閥,在試件上施加壓力以後,由於土中孔隙水壓力增加迫使零位指示器的水銀面下降。為量測孔隙水壓力,可以調壓筒調整零位指示器的水銀面始終保持原來的位置,這樣,孔隙水壓力表中的讀數就是孔隙水壓力值。如要量測試驗過程中的排水量,可打開排水閥門,讓試件中的水排入量水管中,根據量水管中水位的變化可算出在試驗過程中的排水量。
圖2公式推導
孔隙壓力係數A
孔隙壓力係數A
孔隙壓力係數A
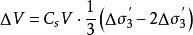
孔隙壓力係數A根據三軸壓縮試驗的結果,通過引用孔隙壓力係數A和B,就可以建立軸對稱應力狀態下孔隙壓力大小與大、小主應力之間的關係。圖3表示了圖中孔隙壓力的發展,設一土單元在各向相等的有效應力 作用下固結,初始孔隙水壓力 =0,意圖是模擬試樣的原位壓力狀態。如果受到各向相等的壓力 的作用,孔隙壓力的增長為 ,有效應力的增長為:
孔隙壓力係數A根據彈性理論,如果彈性材料的彈性模量和泊松比分別為E和μ,在各向應力相等而無剪應力的情況下,土體積的變化為
孔隙壓力係數A
孔隙壓力係數A將 代入上式可得:
孔隙壓力係數A
孔隙壓力係數A
孔隙壓力係數A式中, ——土骨架的三向體積壓縮係數, ;它是土體在三軸壓縮試驗中土骨架體積應變和圍壓增量的比值;
V——試樣體積。
孔隙壓力係數A土孔隙中由於增加了孔隙壓力 ,使土中氣和水壓縮,其壓縮量為
孔隙壓力係數A式中,n——土的孔隙率;
孔隙壓力係數A——孔隙的三向體積壓縮係數,它是土體在三軸壓縮試驗中孔隙體積應變與圍壓增量的比值。
孔隙壓力係數A
孔隙壓力係數A由於土固體顆粒的壓縮量很小,可以認為土體積的變化 等於孔隙體積的變化 。
孔隙壓力係數A
孔隙壓力係數A由式 和 可得:
孔隙壓力係數A整理後得
孔隙壓力係數A
孔隙壓力係數A
孔隙壓力係數A如果在試樣上施加軸向壓力增量( ),設在試樣中產生孔隙壓力增量為 ;相應軸向和側向有效應力增量分別為:
孔隙壓力係數A和
孔隙壓力係數A根據彈性理論,其體積變化應為:
孔隙壓力係數A
孔隙壓力係數A
孔隙壓力係數A將 和 代入,得:
孔隙壓力係數A
孔隙壓力係數A同理,由於孔隙壓力增量 ,使孔隙體積變化為:
孔隙壓力係數A
孔隙壓力係數A
孔隙壓力係數A因為 ,即得 。
孔隙壓力係數A
孔隙壓力係數A
孔隙壓力係數A
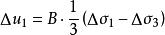
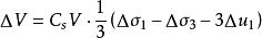
孔隙壓力係數A將式 和 相加,得到在 和 共同作用下的孔隙壓力增量為:
孔隙壓力係數A因為土非理想彈性體,上式係數1/3不適用,而以A代替,於是可寫為:
孔隙壓力係數A式中,A為在偏應力增量作用下的孔隙壓力係數,稱為孔隙壓力係數A。
圖3影響因素
A值的大小受很多因素的影響,它隨偏應力增加呈非線性變化,高壓縮土的A值比較大。超固結土在偏應力作用下將發生體積膨脹,產生負的孔隙壓力,故A是負值。就是同一種土,A也不是常數,它還受應變大小、初始應力狀態和應力歷史等因素影響。各類土的孔隙壓力係數A值可參考表圖4,如要精確計算土的孔隙壓力,應根據實際的應力和應變條件,進行三軸壓縮試驗,直接測定A值。
圖4
