土體固結理論
正文
砂性土的變形在外加荷載施加以後很快完成,而粘性土由於透水性低,其變形的發展在外加荷載作用以後還要延滯很長時間。因此,研究固結是針對粘性土,而且首先是針對飽和粘性土的。
為了說明粘土的上述應力變化過程而提出了固結模型(圖 1)。它由若干帶有小孔的活塞用彈簧串聯而成,並放在注滿水的容器中。彈簧和水分別表示土骨架和孔隙水,小孔的大小則象徵土透水性的高低。當外加荷載未施加時,土中只有靜水壓力;施加荷載以後,就增加了相當於p的超靜水壓力u0。此時,水還來不及從小孔中排出,彈簧沒有壓縮,說明外加荷載p全部由水承擔。隨著時間的推移,不同深處的水以不同的流速v向外排出,各個彈簧產生不同程度的壓縮,這表示超靜水壓力部分地轉移到土骨架上,從而使有效應力σ′逐步增長。從容器壁上接出的測壓管可以觀測不同深度的孔隙水壓力隨時間的變化。最後,彈簧的壓縮趨於穩定,水壓力也減小到原來的靜水壓力,亦即外加荷載全部由彈簧承擔,固結過程因而結束。在任何時刻,σ′與u之和恆等於該點的總應力σ(見土體的壓縮和變形)。
土體固結理論
土體固結理論次固結 將室內固結試驗結果繪製在壓縮量-時間對數曲線上,可以發現在主固結(圖3中的ab段)達到98%(相應的時間為t98)以後,變形仍在發生,這部分稱為次固結(圖3)中的bс段。次固結是在有效應力基本上不變的情況下發生的,並與土層厚度無關。它的產生歸因於土骨架的蠕變和土中結合水與土骨架之間相互作用的鬆弛,因此,達西定律不再有效。對於塑性指數很高的軟粘土和有機質土,次固結常占可觀的百分比。
土體固結理論
(1)
(2)
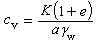
將任一時刻土層中的有效應力面積對於總應力面積之比,亦即已經完成的固結變形St對於固結終了時的總變形S∞之比稱為固結度U。固結度U與時間因素Tv之間存在著單值關係,在工程設計中用來計算完成一定固結度所需的時間或在指定的時間已經完成的沉降值St。
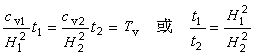
在固結計算中,重要的是如何測定固結係數сv。它經常用室內固結試驗測定。由於土的應力狀態和結構在鑽探取樣過程中發生改變和受到擾動,所以假使有兩個土質相同(сv1=сv2)、但厚度不等(H2>H1)的土層,在達到相同固結度時的時間因數必然相等,即
(3)
在沉積過程中,由於較多的顆粒呈水平向排列,並間或夾有薄層粉砂,致使孔隙水的滲徑大大減小。所以建築物地基的實際固結過程要比理論計算結果快一些。
M.A.畢奧於1941年提出了三維固結理論,也稱畢奧理論。他考慮了各向同性的飽和土單元體在外力作用下的平衡條件,土骨架的線性變形和孔隙水滲流的連續性條件。其優點是不但可以求出孔隙水壓力隨時間的變化,而且還可以計算相應的土體變形。由於它的精確解相當複雜,只有在少數情況下才能得到解析解。目前,由於電子計算機和有限元法的發展,畢奧理論才得到較廣泛的套用。
在實際工程中,常在軟粘土中設定砂井(見預壓法),依靠豎向和徑向滲流加速地基排水固結。如果求得某一時刻由於豎向滲流而引起的固結度為Uz,而同一時刻由於輻射向滲流所引起的固結度為Ur,則地基的總固結度U可以從下式求出:
1-U=(1-Uz)(1-Ur) (4)
R.A.巴倫於1948年提出了完整的砂井設計理論,成為目前一種加固軟土地基的有效方法。

