簡史
雷諾爾發明的煤氣內燃機,與當時蒸汽機的原理完全不同,它從外部燃燒改為了內部燃燒,更加有效地利用了熱能。但由於這台內燃機必須連線在煤氣管中,而且功率過小,因此這台機器實用性為零。正因如此,才讓奧托有了著手研製四衝程內燃發動機的想法。
但研發過程並不順利,最主要的原因是如何增加燃料讓燃燒更加地充分,從而獲得更大的功率。在某次吃飯的時候,奧托突然想到了“壓縮”,因為經過壓縮,同樣體積的氣體,容量卻多出了好幾倍。這也就意味著,最後輸出的功率,也將增大好幾倍。
從圖紙到成功,耗費了奧托14年的時間,同時它的資產也逐漸的消耗殆盡。最終,他在1874年,研製成了具有“體積小”“重量輕”“功率大”這幾個特點的四衝程發動機。其中,這台四衝程發動機的工作原理被稱為“奧托循環”。
原理
奧托循環又稱四衝程循環,內燃機熱力循環的一種,為定容加熱的理想熱力循環。基於這種循環而製造的煤氣機和汽油機是最早的活塞式內燃機。1876年德國工程師尼古拉斯·奧托利用這個原理髮明了發動機,因這種發動機具有轉動平穩、噪聲小等優良性能,對工業影響很大,故把這種循環命名為奧托循環,採用奧托循環的發動機即為奧拓循環發動機。奧托循環主要分為進氣,壓縮,作功,以及排氣這四個行程。
進氣行程
奧托循環在進氣行程中,進氣門開啟,排氣門關閉。活塞從上止點往下止點運動的過程中,活塞上部的容積逐漸增大,氣缸內部的壓力隨之減小。當氣缸內部的壓力逐漸低於大氣壓時,氣缸內部就產生了真空。此時,可燃混合氣就從進氣門中直接吸入了氣缸。從示功圖中也可以看出,當活塞下行時,曲線ra在大氣壓線以下。在進氣行程中,缸內壓力為0.075-0.09MPa,溫度在100-130℃。
壓縮行程
奧托循環在整個壓縮行程中,進排氣門均關閉,活塞從下止點往上止點運動的過程中,活塞上部的容積逐漸減小,混合氣被壓縮,缸內壓力逐漸升高,最後達到了0.6-1.2MPa,溫度升高至300-400℃。示功圖中,曲線ac表示壓縮過程。
作功行程
在這個行程中,進排氣門仍然處於關閉狀態,當活塞將要接近上止點時,火花塞放出電火花,從而點燃氣缸內的壓縮混合氣。被點燃的混合氣,釋放出了大量的能量以及熱能,使得缸內的壓力以及溫度迅速增加。
奧托循環從示功圖中可以看出,活塞離開上止點的初段,壓力從c點增加到z點,此時的壓力大約為3-5MPa,溫度為1900-2500℃。活塞從上止點向下止點運動的過程中,隨著缸內容積增加,氣體和溫度也隨之下降,最終到達了作功終了b點,此時缸內的壓力為0.3-0.5MPa,溫度為1000-1300℃。
排氣行程
奧托循環進氣門關閉,排氣門開啟。當活塞由下止點往上止點運動時,氣缸內的廢氣強制被活塞排到了氣缸之外。當活塞接近上止點時,排氣門關閉。此時,大氣壓力約為0.105-0.115MPa(略高於標準大氣壓),溫度為600-900℃。這一過程,在示功圖中由曲線br表示。
套用
奧托循環機械圖奧托循環是理想化的循環,因為在理論分析和計算時,認為循環由絕熱、等容、等壓等過程組成,並且系統的組成、性質和質量都保持不變,而實際上因為發生了燃燒和爆炸,系統的組成和性質必然發生變化,因此實際汽油發動機的效率要比奧托理想循環的效率低很多,只有一半或更小約25%左右。
現代的汽車、卡車等使用的內燃機中大多都是採用奧托循環的。
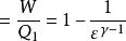
奧托循環奧托循環的熱效率為 η
式中 W為輸出的淨功; Q為輸入的熱量。這個公式說明, η僅與壓縮比和比熱容比 γ(取決於工質的性質)有關。 ε越高, η也越高,但實際上 ε受可燃氣體混合物爆震特性的限制,而且隨著 ε的提高,它對 η的影響越來越小,所以 ε值不能取得過高,一般在6~10之間。此外, γ越大, η也越高。

