塔板理論1952年,馬丁(Martin)和欣革(Synge)最早提出塔板理論(Plate theory),將色譜柱比作蒸餾塔,把一根連續的色譜柱構想成由許多小段組成。在每一小段內,一部分空間為固定相占據,另一部分空間充滿流動相。組分隨流動相進入色譜柱後,就在兩相間進行分配。並假定在每一小段內組分可以很快地在兩相中達到分配平衡,這樣一個小段稱作一個理論塔板(theoretical plate),一個理論塔板的長度稱為理論塔板高度(theoretical plate height)H。經過多次分配平衡,分配係數小的組分,先離開蒸餾塔,分配係數大的組分後離開蒸餾塔。由於色譜柱內的塔板數相當多,因此即使組分分配係數只有微小差異,仍然可以獲得好的分離效果。
理論假定
塔板理論是從精餾中借用的,是一種半經驗理論,但它成功地解釋了色譜流出曲線呈常態分配。該理論有如下假設:
色譜柱1)塔板之間不連續;
2)塔板之間無分子擴散;
3)組分在各塔板內兩相間的分配瞬間達至平衡,達一次平衡所需柱長為理論塔板高度H;
4)某組分在所有塔板上的分配係數相同;
5)流動相以不連續方式加入,即以一個一個的塔板體積加入。
當塔板數n較少時,組分在柱內達分配平衡的次數較少,流出曲線呈峰形,但不對稱;當塔板數n>50時,峰形接近常態分配。根據呈常態分配的色譜流出曲線可以導出計算塔板數n的公式,用以評價一根柱子的柱效。
理論塔板數由組分保留值和峰寬決定。若柱長為L,則每塊理論塔板高度H為:
H = L / n
由上式知道,理論塔板數n 越多、理論塔板高度H越小、色譜峰越窄,則柱效越高。
理論塔板高度和理論塔板數
理論塔板高度(theoretical plate height)又稱板高(plate height)、等板高度(height equivalent to a theoretical plate)等,用 H 表示:為使組分在柱內兩相間達到一次分配平衡所需要的柱長,即單位理論塔板的長度稱為理論塔板高度。它等於色譜柱長度除以理論塔板數,用理論塔板數與板高表示柱效率時是等價的。
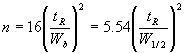
色譜柱與色譜圖理論塔板數(number of theoretical plate)又稱理論塔片數,用n 表示:為完成某一指定分離要求所需理論塔板的數量,即組分流過色譜柱時,在兩相間進行平衡分配的總次數。描述色譜柱效能的一項主要指標,當色譜柱長為L時,則它的理論塔板數n 為:
n=L/H 或 H=L/n
由此可見,當色譜柱長L固定時,n 值越大,或H值越小,柱效率越高,分離能力越強。n 和H可以等效地用來描述柱效率。
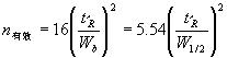
由塔板理論可導出理論塔板數n的計算公式為:
塔板理論式中:tR是組分的保留時間;Wb是色譜峰兩邊轉折點所劃切線與基線相交點之間的截距;W1/2是半峰寬;三者均需以同樣單位表示(時間或距離)。理論塔板數表達了色譜峰的擴張程度和色譜峰的陡度,但不能說明色譜柱對組分的選擇性。式中,保留時間和峰寬度的單位(cm和s)要一致,計算結果取兩位有效數字。
有效理論塔板高度和有效理論塔板數
分配示意圖在實際套用中,提出了將
塔板理論
塔板理論
塔板理論則:
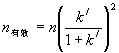
塔板理論有效理論塔板數與容量因子
分配比分配係數(K):指物質在一定溫度、壓力下兩相間分配達到平衡時兩相中濃度的比值。
容量因子與分配係數成正比,與相比成反比,容量因子與分配係數的關係:k' =CsVs/CmVm=KVs/Vm。
容量因子與分配係數(K)的不同點是:K取決於組分、流動相、固定相的性質及溫度,而與體積Vs、Vm無關;k' 除了與性質及溫度有關外,還與Vs、Vm有關。由於t'R、to較Vs、Vm易於測定,所以容量因子比分配係數套用更廣泛。
塔板理論k' 值小,
塔板理論
塔板理論參考文獻
[1]范國梁, 宋崇林, 張延峰, 隋靜, 閻穎, 周維義, 姜東峰, 劉春宇. 塔板理論對柱內和柱外濃度分布曲線的描述[J]. 分析化學, 2003,(01)
[2]王東援,孫毓慶,王延琮. 關於塔板理論的進一步討論[J]. 瀋陽醫學院學報, 1995,(01)
[3]徐文清, 陸光漢. 關於氣相色譜塔板理論問題[J]. 高等函授學報(自然科學版), 1999,(04)
[4]王東援,孫毓慶,蔡紅,魏寶林,傅文敏. 非平衡塔板理論的幾個問題[J]. 色譜, 1994,(04)
[5]戴朝政, 向在筠. 塔板理論色譜流出曲線性質的研究[J]. 化學學報, 1994,(01)
[6]范國梁, 宋崇林, 閻穎, 康凱, 周維義, 姜東峰, 劉春宇. 使色譜峰產生拖尾的一個因素──柱出口效應[J]. 分析化學, 2001,(06)
[7]傅厚暾, 馮鈺錡, 趙俐敏, 劉立, 陳杰. 非線性條件下的塔板理論模型和計算機模擬[J]. 江漢大學學報(自然科學版), 2003,(01)
[8]傅厚暾, 馮鈺錡, 趙俐敏, 劉立, 陳杰. 非線性條件下的塔板理論模型和計算機模擬[J]. 江漢大學學報(自然科學版), 2003,(01)
[9]http://www.ilib.cn/A-sp200201006.html
[10]http://www.17kaola.net/A1866285/

