簡介
基爾霍夫積分定理
基爾霍夫積分定理基爾霍夫積分定理(Kirchhoff integral theorem)表明,假設點P在閉合曲面之外,只考慮單色波,則位於點P的波擾,可以以位於閉合曲面的所有波擾與其梯度表達為
基爾霍夫積分定理或者
基爾霍夫積分定理
基爾霍夫積分定理
基爾霍夫積分定理
基爾霍夫積分定理
基爾霍夫積分定理
基爾霍夫積分定理
基爾霍夫積分定理
基爾霍夫積分定理
基爾霍夫積分定理其中,是從閉合曲面的任意位置到點P位置的位移矢量,R是其數值大小,k是波數,是對於源位置的梯度,是從閉合曲面向內指入的微小面元素矢量,是對於閉合曲面的法嚮導數。
基爾霍夫積分定理是因德國物理學者古斯塔夫·基爾霍夫而命名。這定理廣泛地套用於光學領域。對於很多案例,這定理的方程可以近似成一種更簡單的形式,稱為基爾霍夫衍射公式。惠更斯-菲涅耳原理的傾斜因子專門依方向的不同而調整由點波源所產生的次波朝著不同方向傳播的波幅。從基爾霍夫衍射公式,可以推導出傾斜因子的確切形式。
非單色波
對於非單色波,必須使用更廣義的形式。以傅立葉積分來表達非單色波的分解:
基爾霍夫積分定理
基爾霍夫積分定理其中,是角速度,c是光速。
根據傅立葉反演公式(Fourier inversion formula):
基爾霍夫積分定理對於每一個傅立葉分量,套用基爾霍夫積分定理,可以得到
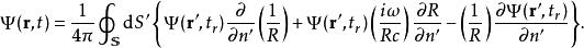
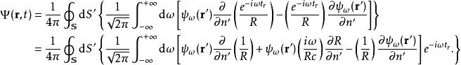
基爾霍夫積分定理將這公式代入的傅立葉積分公式:
基爾霍夫積分定理
基爾霍夫積分定理設定,注意到推遲時間出現在相位因子裡,必須將光波傳播的時間納入計算。更換積分次序,公式變為
基爾霍夫積分定理
基爾霍夫積分定理
基爾霍夫積分定理
基爾霍夫積分定理
基爾霍夫積分定理
基爾霍夫積分定理在時間t,位於點P的波擾,可以以位於閉合曲面的所有波擾在其推遲時間的數值與其法嚮導數來表達:
基爾霍夫積分定理這就是推廣後的基爾霍夫積分定理。
標量理論
光波是傳播於空間的電磁輻射,理當被視為一種電磁場矢量現象。但是,基爾霍夫的理論是標量理論,將光波當作標量處理,這可能會造成偏差。因此,物理學者做了很多實驗來檢查結果是否準確。他們發現,只要孔徑尺寸比波長大很多、孔徑與觀察屏之間的距離不很近,則使用標量理論可以得到相當準確的答案。但是對於某些問題,例如高解析度光柵衍射,標量理論就不適用,必須使用矢量理論。
參閱
•衍射
•泊松光斑
•推遲勢
•李納-維謝勢
