基本振動頻率的推導
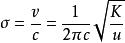
把化學鍵相連的兩個原子看做諧振子,可以根據諧振子振動的Hooke定律,化學鍵基本振動頻率為
基本振動頻率
基本振動頻率
基本振動頻率式中,K為化學鍵力常數(N/cm,1N=),是指化學鍵兩端的原子由平衡位置拉長單位長度時的恢復力。
基本振動頻率的延伸-折合相對原子質量
基本振動頻率
基本振動頻率
基本振動頻率
基本振動頻率化學鍵力常數越大,化學鍵的強度越大。為A,B原子的折合質量,即;其中和分別為化學鍵兩端原子A和B的質量。
基本振動頻率
基本振動頻率因為,所以
基本振動頻率此式子說明,化學鍵力常數K越大,折合相對原子質量越小,則諧振子的振動頻率越大,即振動吸收峰的波數越大。
折合相對原子質量和波數
基本振動頻率,可以得到以下結論
| 化學鍵類型 | 折合相對原子質量 | 鍵常數 N/cm | 基團振動波數 基本振動頻率 |
基本振動頻率 | 6 | 5 | 1190 |
基本振動頻率 | 6 | 10 | 1680 |
基本振動頻率 | 6 | 15 | 2060 |
(1)折合相對原子質量相同的基團,其化學鍵力常數越大,伸縮振動頻率基頻峰的波數越高。由於
基本振動頻率
基本振動頻率
基本振動頻率(15N/cm)>(10N/cm)>(5N/cm),所以三鍵,二鍵,單鍵的紅外振動波數順序為:
基本振動頻率
基本振動頻率
基本振動頻率>>,如下表。
基本振動頻率
基本振動頻率
基本振動頻率
基本振動頻率
基本振動頻率
基本振動頻率(2)折合相對原子質量越小,基團的伸縮振動波數越高。以共價鍵與氫原子組成基團的紅外振動波數均出現在高波數區。例如:=2911;=3600~3200;=3500~3300。
(3)以共價鍵與C原子組成基團的其他原子隨著原子質量的增加,紅外振動波數減少。比如:
基本振動頻率
基本振動頻率
基本振動頻率
基本振動頻率
基本振動頻率
基本振動頻率>>>>>
(4)折合相對原子質量相同的基團,一般v>β>γ。

基本振動頻率
基本振動頻率
基本振動頻率 