城鄉經濟互動模型城鄉經濟互動模型是指在經濟和社會發展的過程中,通過積極促進城鄉人力、市場、信息、產業和文化等各種要素的流通,形成城鄉之間全方位的溝通、聯繫、交流與互促機制,在城鄉購買力全面提高的基礎上逐步實現二者發展的動態平衡過程。城鄉經濟是市場經濟系統的兩極。探討開發中國家城鄉經濟相互發展,不僅有助於提高經濟運行質量,而且對加快城鎮化步伐,有效發揮市場機制的良性作用都是很有意義的。
內涵
城市和農村作為不同類型的經濟主體,存在著千絲萬縷的聯繫。城市和鄉村為了尋求自身的發展,必然會形成對資源、資金和人才的爭奪,從而表現出城鄉之間的一種對立和對抗。但是,隨著社會經濟的進一步發展,人們越來越發現不論是偏重城市還是農村的發展戰略,都遇到了很多實際問題。農村地區的問題表現為諸如小生產與大市場,小規模經營與農業現代化,農業社會效益高與經濟效益低等一系列矛盾。城市地區的問題則表現為市場容量有限,資源匱乏,土地稀缺與可持續發展的矛盾。必須認識到,這些問題的解決,絕不僅僅是城市或農村某個區域的發展所能完成的。諸如城市土地問題,農村勞動力轉移問題,城鄉市場問題,都必須通過城鄉之間的相互作用才能得到切實的解決。城鄉經濟互動模型不是人的主觀意識的產物,它是隨著社會經濟不斷向前發展的必然結果,是社會經濟發展到一定階段的必然要求。
理論基礎
新一輪的城鄉經濟發展建立社會主義市場經濟體制是中國經濟體制改革的目標,也是整個經濟生活得以順利進行的制度保障。對於城鄉經濟互動模型來說,市場作為整個經濟生活的主體和核心是無處不在的,它同樣會對城鄉經濟起決定性的影響作用。當前,城市和農村仍然是兩個相對獨立的主體,它們之間有聯繫的通道,卻無法形成有機統一的整體。關鍵就在於,城市和農村之間缺乏統一的大市場來維繫城鄉作為一個整體的運行。這個問題在工業化初期可能並不突出,但是隨著社會經濟地不斷發展,市場問題就顯得越來越突出了。內需不足是我國現階段經濟所面臨的問題,如果能順利實現城鄉經濟互動發展,真正地形成城鄉統一大市場,將會大大促進國內市場的發育,從而使一系列經濟問題得到解決。明確了市場在城鄉經濟互動模型中的核心地位,還應該看到城鄉經濟互動模型的“發動機”——工業化和農村現代化。
農業是人類賴以生存的產業,沒有農業提供人類生活的必需品,那么一切工業化的成果都只能是海市蜃樓。農村和農業的現代化,必然地會改變農村地區的現狀,大大提高農村居民的生活水平,並且將有利於農村剩餘勞動力的分離,為勞動力的轉移提供可能。同時,隨著農村和農業的現代化,市場經濟的日益發達,農業產業化、商品化的趨勢也必將為工業化的發展提供更有保障的原材料來源。農村市場也必將隨著社會經濟的發展而進一步得到開發,從而有利於城鄉市場的融合,最終形成有機的統一大市場。
工業化是城市化的基礎,也是城鎮體系形成的動力源泉。隨著工業化進程的推進,城市化率也將不斷地提高,城鎮體系也將在這一過程中不斷地完善和發展。與此同時,工業化的進一步發展也會改善所在區域居民的生活水平,並最終實現城市經濟從微觀和巨觀兩個層次上的發展和完善。工業化對農村領域的影響同樣是巨大的,工業化的發展會對農村、農業提出新的要求,集中地表現在對廉價的工業原料和廉價勞動力的需求上。因此,農村和農業的現代化與工業化之間是緊密聯繫的,誰都不能孤立地求生存、求發展。兩者必須協調一致,形成一種有序的發展態勢。
綜上所述,無論是工業化,還是農業現代化,都需要解決一個市場問題。沒有相應的市場消化工業化和農業現代化的成果,那么發展的努力可能會變成沒有回報的付出。但是,市場並不是一個靜態的等待發現的概念,而是一個動態的、發展的概念,它是需要培育和維護的。市場的基礎是總人口和人均購買力(市場容量=總人口×人均購買力)。當前所說的市場,通常是指城市市場,而往往忽略了廣大農村地區的市場。這種現象主要是因為農村在現階段的人均購買力遠遠落後於城市,所以雖然有龐大的人口基數,但是在市場容量方面卻往往處於不受重視的處境。這也使得城鄉經濟互動模型成為一種必要,尤其是中國正處於內需不足的時期,如果能通過城鄉經濟互動模型的方式帶動農村經濟的整體發展,提高農村的市場容量,有效地把城市市場和農村市場結合起來,真正形成城市和農村的統一大市場,將會大大加快我國現代化進程的發展。
均衡模型分析
城鄉互動下面從市場這個核心入手來進行分析:
市場容量=總人口×人均購買力
由於現實的市場容量更多的體現為人均收入水平與總人口的乘積,所以對於目前我國城鄉差別現狀,如果把市場容量分成城市和農村進行考察,則:
市場容量=城市居民人均收入水平×城市人口+農村居民人均收入水平×農村人口
從1952~1998年的全國數據來看,城市和農村居民的人均收入水平不是在縮小,相反地呈現出一種不斷擴大的趨勢。當前,農村居民的人均收入水平僅占城市居民人均收入水平的40%左右。這從一個側面反應了,雖然當前整體經濟運行的態勢不錯,但是城鄉差別擴大的問題卻越來越突出。而就全國的人均收入水平來看:
人均收入水平=城市居民人均收入水平×城市化率+農村居民人均收入水平×(1-城市化率) 根據對多年數據的分析,近年來,農村居民人均收入基本上處於占城市居民人均收入40%的水平,經過換算後:全國人均收入水平=城市居民人均收入水平×(2/5+城市化率×3/5) 假設城市化率達到40%,那么人均收入水平僅相當於城市居民人均收入水平的64%,而當城市化率達到70%時,則人均收入水平相當於城市居民的82%。因此,圍繞市場這個核心,可以看到,城市化是實現社會經濟整體進步的一個有效途徑。
事實上,以市場為核心,工業化和農村現代化為動力的城鄉經濟互動發展模式,在現實社會經濟中所表現的主要是城鄉之間的人流、物流、資金流的變化,而其中又以人流問題最重要,是一系列問題的關鍵所在。造成人員流動的根本原因是巨大的城鄉差別,最能反應這一差別的就是城鄉居民的人均收入差別。隨著社會經濟的不斷進步,市場經濟的不斷完善,經濟要素的流動也將更加頻繁和自由,人口在城鄉間的遷移所付出的成本也會越來越少,因此以下的分析試圖把在城鄉之間進行遷移活動的成本假設為零,以方便整個動態化的討論。
首先,假設在城鄉經濟總量和結構不發生變化的情況下,隨著城市化進程的加快,農村地區參與分配經濟收入的人口基數也隨之減少。假設城市化率在五十年內從40%提高到70%,那么這對農村地區和城市地區的人均收入水平的總體影響就會發生重大的變化。城市化率從40%到70%就意味著在城鄉人口分布格局的巨變,農村地區的人口總量減少了50%,從理論意義上講,也就意味著農村地區人均收入水平將會提高一倍,達到原城市居民人均收入的4/5。而城市則增加了75%的人口,同樣地也就意味著人均收入水平將下降到原來的4/7(<4/5),這樣也就出現了農村地區的人均收入水平高於城市地區的人均收入水平的逆效果。當然,這種現象在現實社會中是極為罕見的,因為在整個均衡過程中,不僅僅只有城市化這樣一個動態的人口概念,同時還存在一個社會經濟整體的動態發展概念。
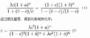
公式模型再假設在上述五十年內,城市的年均經濟增長速度為a,農村的年均經濟成長速度為b,那么,城鄉之間在五十年間經濟力量對比也將會發生相應的變化,如果原來的城市與農村經濟在總量上是3:1,那么五十年後,就應該是3(1 a)50 / (1 b)50。在此基礎上,我們再假設當前城市化率為c,均衡城市化率為c,當前城鄉之間收入差異係數為λ(城市居民人均收入/農村居民人均收入),n為實現均衡的預期年限,以城鄉均衡人均收入為原則,則可以得到以下模型(右側):
均衡城市化率是對城鄉經濟一體化實現過程的量化反映,是城鄉經濟互動模型並趨於均衡過程的一個基本度量值。它對於城鄉經濟互動而言是一個非常重要的因素,但需要指出的是,它並不是唯一的衡量因素。社會經濟的發展要堅持人本原則和市場導向,推進城市化不能貪多求大,關鍵還是在於建立科學的城市化發展動力機制。

