均方迴轉半徑
均方迴轉半徑
均方迴轉半徑
均方迴轉半徑
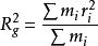
均方迴轉半徑均方迴轉半徑定義:假設高分子鏈中包含許多個鏈單元,每個鏈單元的質量都是 ,設從高分子鏈的質心到第 個鏈單元的距離為 ,它是一個矢量,取全部鏈單元的 對質量 的平均。
均方迴轉半徑公式
均方迴轉半徑是表征線性聚合物分子尺寸的常數,通常可由靜態光散射法測量。
均方迴轉半徑
均方迴轉半徑
均方迴轉半徑
均方迴轉半徑
均方迴轉半徑均方迴轉半徑定義:假設高分子鏈中包含許多個鏈單元,每個鏈單元的質量都是 ,設從高分子鏈的質心到第 個鏈單元的距離為 ,它是一個矢量,取全部鏈單元的 對質量 的平均。
均方迴轉半徑公式
迴轉半徑是一個物理量,又稱慣性半徑,是指物體微分質量假設的集中點到轉動軸間的距離,轉動慣量除以總質量再開平方。 它可以用來計算慣性矩。
介紹 結論radius of gyration 又稱迴轉半徑 。 單個高分子分子鏈在空間的伸展程度的一種尺度。
均方末端距指線形高分子鏈的一端至另一端的直線距離的平方的平均值。 該物理量用於表征高分子尺寸的大小。
機動車輛司機,必須經過專門訓練,考試合格發給操作證,方準獨立操作。 第...裝置。 第13條工作前必須檢查機械、儀表、工具等,確認完好方準使用...
塔吊的安全距離,在水平和垂直兩個方向上都要保證不少於2m的安全距離,相鄰塔...
簡介 產生 特點 分類 國家標準的均方迴轉半徑後推算。假定高分子鏈中包含許多個鏈單元,全部鏈單元的旋轉半徑...分子尺寸的參數,藉以描述分子的構象。表征高分子尺寸的常用參數有根均方末端距、均方旋轉半徑、聚合度等。測量對於瞬息萬變的無規線團狀的高分子,我們...
高分子定在底座上的塑膠盤中的排水管流入置於磨光機旁的方盤內。拋光罩及蓋可防止...。拋光輥上螺旋槽的導角和溝槽尺寸均經過專門設計,便於輥子高速旋轉過程中將革...
操作關鍵 拋光要點 性能特點 型號分類 角向磨光機日常維護保養及操作程式滿足設計要求後,方可在施工中使用。2、本工程鋼管腳手架的搭設使用可鍛鑄造...。底排立桿、掃地桿均漆紅白相間色。4、腳手板、腳手片採用符合有關要求。5...扣件連線;連牆件連線方式為雙扣件連線;活荷載參數施工均布荷載標準值(kN...
編制依據 工程概況 選擇 材質要求 搭設流程;p —立桿基礎底面處的平均壓力;q —均布荷載;P —跨中集中荷載;v...管內直徑h —立桿步距,方木高度;b—方木寬度;i —截面迴轉半徑...
內容簡介 作品目錄