定義
均值函式
均值函式
均值函式
均值函式
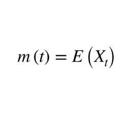
均值函式 均值函式即一階原點矩函式過程的數學期望作為參數的函式。給定隨機過程,如果對於每個參數 t ,隨機變數都是可積的,則稱上的函式為過程的均值函式。
矩函式
[moment function]
矩函式是隨機過程有窮維分布的矩。
均值函式
均值函式
均值函式 對於給定的隨機過程,稱的r元函式為過程的r階原點矩函式(r-order original moment function)。
均值函式 稱為過程的r階中心矩函式(r-order central moment function)。這裡總假設所涉及的矩存在。
均值函式
均值函式
均值函式 矩函式是用來表述隨機過程在各個參數上的相互關係的數字特徵。最常用的是一、二階矩函式。r階矩函式更一般的形式為,,其中,。

