歷史
地形降水的早期研究可以追溯到1945年L. Bonacina對地形抬升降水的討論。Bonacina通過地形抬升解釋了全球範圍內山地迎風坡和背風坡降水分布的差異,並使用“orographic precipitation”描述該現象,其中“orographic”來自古希臘語的“山地(oros)”一詞 。隨後在1947年,Charles K. M. Douglas和J. Glasspoole研究了中性濕氣流的地形抬升,這份研究首次在天氣尺度下討論了地形的降水效應 。
地形降水的量化研究得益於氣象觀測手段的進步,在近現代探空和遙感技術的支持下,于山地開展的外場觀測試驗,例如Sierra-Cooperative Project和MAP(Mesoscale Alpine Programme)幫助建立了地形降水的巨觀和微物理理論,也探知了地形對流和其它中小尺度過程。對地形降水在各個時期的階段性綜述可以參見Sawyer (1956) 、Smith (1979) 、Roe (2005) 和Houze (2011) 。
理論
動力學理論
地形降水的動力學理論主要研究和解釋伴隨降水出現的上升運動,與後者有直接關係的天氣動力學概念是由布倫特-維薩拉頻率(Brunt–Väisälä frequency),即浮力頻率定義的大氣的層結穩定度。浮力頻率小於等於0表示不穩定和中性層結,在擾動下會出現上升運動,反之則為穩定層結,不同層結穩定度的山地氣流存在動力學機制的差異,該差異會最終影響地形降水的類型、強度和空間分布。對穩定層結下的地形降水,一個在研究中被廣泛使用的參數是無量綱地形高度(non-dimensional mountain height) :
地形降水
地形降水
地形降水式中 分別為地形高度和氣流過山的法向速度, 為浮力頻率,當無量綱地形高度大時,氣流受到山地阻擋,反之則容易過山並形成山脈波動。無量綱地形高度的物理解釋可類比流體力學中的弗勞德數(Froude number)。在進一步考慮熱力學因子後(參見熱力學理論部分),動力學理論中的浮力頻率可以替換為濕靜力穩定度(moist static stability)。
穩定和中性層結
當過山濕氣流層結穩定時,山地的空間尺度對地形抬升降水有重要影響。在山地尺度較大,例如無量綱地形高度大於1.2時,山地對氣流有阻滯效應(barrier effect)並形成阻滯氣流(barrier flow)。阻滯氣流對地形抬升降水的空間分布和強度有影響,作為觀測結論,阻滯效應會使地形降水的強度增大,降水分布的中心也向迎風坡上游移動。按Medina and Houze (2005)的理論,阻滯效應發生時,迎風坡近地面風速減弱,在對流層下層形成風切變,該環流形態阻礙了迎風坡頂的氣流抬升,但同時阻滯氣流的堆積使得迎風坡變得更加平緩,風切變內部的湍流活動也有利於微物理過程中降水的生成(參見微物理過程),因此可以在迎風坡上游製造更強的降水 。在一些外場觀測試驗中,阻滯效應可以將地形降水擴展至迎風坡之外 。
在山地尺度較小,例如無量綱地形高度小於1時,層結穩定氣流在山頂附近可能形成山脈波動(mountain wave),包括過山波和背風波。山脈波動有利於地形降水的發展,其中過山波引發的上升運動會強化山頂附近的垂直運動並增強地形降水,該現象在IMPROVE-2外場觀測試驗中得到了系統研究,數值模擬結果表明,山脈波動可使其影響區域的地形降水總量提升10-20% 。在其它理想化的數值試驗中,過山波對地形降水的提升量與其強度正相關,當過山氣流強且山地的寬度較小時,過山波對降水的影響大 。
中性層結濕氣流通常不受地形阻滯的影響,因此在通過山地時其內部會有明顯的上升氣流並伴隨強降水。中性層結氣流過山是地形降水最早開展的研究之一,其中的一類典型例子是鋒前急流(pre-frontal low level jet)經過山地引起的地形抬升降水,該情形在外場觀測試驗中得到了系統研究 。
中性和穩定層結下的地形降水與山地的空間和幾何特徵有關。當由迎風坡寬度計算的羅斯貝數(Rossby number)小於1,即慢速氣流通過大尺度山系時,過山氣流的動力學描述需要考慮地球的旋轉效應。在觀測中,阿爾卑斯山、內華達山脈等大尺度山系的數值理想實驗表明,其迎風坡降水存在非對稱現象,過山氣流右側的降水要多於左側 ;而當羅斯貝數遠大於1時,山地地形的幾何特徵會影響地形降水。例如地形的寬度會影響氣流過山的弗勞德數(Froude number),後者是對背風波的振幅進行判定的參數之一 。
不穩定層結
山地氣流出現強不穩定層結的情形通常為日間山坡陽面的輻射增暖,或周圍中尺度環流和山脈波動的不穩定能量在山地的傳播。不穩定層結會在山地形成對流單體和局地強降水,背風坡的下沉氣流中對流單體少見,而迎風坡的上升氣流則有利於對流單體的發展,若地形抬升超過自由對流高度(Level of Free Convection, LFC),會直接產生對流單體,因此在迎風坡的地形抬升區域內可觀測到因觸發局地不穩定對流而產生的降水增強 。依據不穩定性的強弱,山地的對流系統可以有兩類發展形式。在強不穩定情形下,山地對流系統會隨其內部下沉支氣流(downdraft)引發的密度流向大尺度流場的上游傳播並產生大規模降水 ;弱不穩定情形下,山地對流會在山頂附近形成準靜止(quasi-stationary)的雨帶。數值理想試驗可以有效區分上述兩類不穩定對流,在觀測中,強不穩定層結的情形通常為日間的輻射增暖或中尺度對流系統(meso-sclae convective system)通過山地 ;弱不穩定情形通常為地形輻合或重力波活動 。
熱力學理論
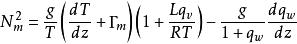
地形降水在巨觀上以動力學理論為主,熱力學理論通過考慮氣塊的非絕熱過程(diabatic process)對動力學理論進行修正。由於地形降水的研究對象是包含一定可降水總量的濕空氣,因此浮力頻率有時無法準確描述其行為 ,為此按熱力學觀點提出的改進是濕靜力穩定度(moist static stability) :
地形降水
地形降水
地形降水
地形降水
地形降水式中 ,即總混合比是水汽和雲滴混合比之和, 為蒸發潛熱, 為濕絕熱減溫率, 為修正理想氣體常數。由上式可知,濕靜力穩定度在浮力頻率的基礎上考慮了濕度的垂直梯度和水汽凝結的潛熱釋放,由其表達式可知,濕絕熱過程產生的凝結潛熱會提升氣塊的不穩定性,促進其上升運動,有利於地形降水的產生 ;蒸發作用帶來的降溫則會提升氣塊的穩定性,削弱地形降水的強度 。此外,濕靜力穩定度僅考慮了降水在氣態和液態間轉換的情形,對山地降水而言,液態和固態的轉換也是普遍存在的,例如山地在積雪融化時會出現非絕熱降溫,有利於層結保持穩定 。
熱力學因子會影響地形降水強度隨時間的變化,其中典型的例子是中性層結氣流過山。由於中性層結對應濕靜力穩定度為0的情形,因此隨著降水過程的持續,濕空氣的含水量會減小,其濕靜力穩定度的數值會發生變化。數值理想試驗的結果表明,當濕空氣的水汽飽和度降低時,其層結由中性向穩定轉變,但該轉變過程是非線性的。在觀念上,若水汽飽和度快速且大幅度下降,則中性層結更易轉變為穩定層結 。
微物理過程
降水的微物理過程包括雲內水凝物(hydrometeor)的生成、互動和降落,其中在降水的生成(precipitation growth)方面包括雨滴的碰撞(collision)和合併(Coalescence);冰晶的凝華(deposition)、聚合(aggregation)、結凇(riming)和其它不由冰晶核(ice nuclei)引發的二次冰晶生成;在降水的衰減方面包括蒸發(evaporation)和升華(sublimation) 。考慮山地海拔,其上方大氣的凝結高度很低,有時山地自身海拔已經超過了凝結高度,因此地形降水的微觀過程中,混相(mixed phase)和冷雲物理理論占很大比重 。
地形降水和一般降水在上述微物理過程的機制上沒有區別,但複雜地形和有關的動力學機制影響了不同微物理過程的相對重要性,這裡介紹微物理過程在不同條件下與地形因素的相互作用。
時間尺度
地形降水
地形降水地形降水包含3個時間尺度:平流時間尺度(advective time scale),即上升氣流的持續時間;轉化時間尺度(conversion time scale),即雲系內形成降水所需的時間;下落時間尺度(fallout time scale),即雲系內降水形成後落入地面所需的時間 。平流時間尺度大致為山地寬度的一半(考慮迎風坡和背風坡對稱)對氣流過山水平速度的比值,可由觀測結果計算。轉化時間尺度和下落時間尺度通常由數值模擬或室內儀器觀測確定,模擬和觀測結果在不同的給定條件下有很大差異。轉化時間尺度的長短在0至30分鐘之間,具體取決於參與轉化的降水生成過程,而後者被認為與地形和大尺度環流有關 。下落時間尺度對應的下落速度在固態降水的情形下大致為 ,降雨大於該值,可達 。研究表明下落時間尺度與降水的尺寸(size)、晶形(crystal habit type)和結凇程度(degree of riming)有關,其中雨滴和冰晶的尺寸與下落速度正相關,與下落時間尺度反相關。晶形和結凇程度僅對固態降水存在,晶形決定了冰晶下落時所受阻力的大小,例如枝狀冰晶(dendritic particle)下落時受阻力較大,因此速度慢,霰狀冰晶(graupel particle)反之;發生結凇的冰晶通常體型更大,也更接近於霰狀,因此速度較快 。上述3個時間尺度的相對大小決定了地形降水的效率,即雲系內可降水量轉化為地形降水的比例,當轉化時間尺度和下落時間尺度之和小於平流時間尺度時,降水效率高,反之則效率低。
地形幾何特徵的影響
地形幾何特徵對微物理過程的影響包括高度和寬度兩個維度。狹窄而高的山系海拔上升更快,因此氣流過山時的垂直速度更大,其內部雲系的凝結更加旺盛,數值模擬結果表明,此時地形降水的生成由凝結-結凇過程主導,轉化時間尺度小;與之相反的,氣流在通過寬大平緩的山系時,其雲系內部的降水生成由凝華作用主導,轉化時間尺度大 。當地形高度高於凝結高度時,降水在下落過程中將始終保持固態,因此下落時間尺度大,且固態降水,例如降雪在下落過程中受到水平風速影響,其地面分布會偏向背風坡一側 ;地形高度低於凝結高度時反之。綜合以上觀點,在降水效率方面,高海拔陡峭地形有利於建立凝結-結凇過程,對應小的轉化時間尺度和高的降水效率,但也帶來固態降水,對應大的下落時間尺度和低的降水效率,低海拔平緩地形反之。因此在觀測比較中,通過考慮地形高度帶來的上述兩個相反作用因素的相對大小,可以同時解釋凝結高度對降水效率的正面和負面影響 。
與地形特徵密切聯繫的變數是氣流過山速度,二者共同決定了平流時間尺度的大小和降水的空間分布。一方面,在氣流過山速度固定時,狹窄地形的平流時間尺度小,因此其雲系內降水發展的時間短,降水效率低;反之寬度大的山地有足夠長的迎風坡發展降水,因此降水效率高。另一方面,在地形幾何特徵固定時,快速過山氣流的降水密集區域更接近山頂,原因是其降水下落時受到水平風速的影響更加明顯,該現象在降雪發生時明顯 。
動力學因子的影響
層結穩定氣流過山時可能會形成阻滯氣流,此時地形降水在阻滯氣流的產生地會呈現微物理過程和空間分布的變化。具體地,過山氣流下方的冷空氣層結會在迎風坡堆積,充分堆積的冷空氣自身也具有阻滯效應,會在空間上進一步延伸地形阻滯的影響,類似於形成了一個更寬和更平緩的地形,類比地形寬度的作用可知,阻滯氣流增大了平流時間尺度 。另一方面,動力學理論中阻滯氣流內部的湍流活動有利於降水的生成,因此減小了轉化時間尺度,該現象在研究中被稱為小尺度單體(small-scale cellularity)與微物理過程的相互作用 。在上述兩類機制的作用下,阻滯氣流會提高地形降水的效率並使其向氣流的上游擴展。在降水的生成過程方面,堆積的冷空氣減緩了過山氣流的上升運動和與之對應的凝結過程,因此對阻滯氣流,其雲系內水凝物的生成主要通過冰晶核的凝華實現,結凇過程出現較少 。此外,在地形降水達到一定級別時,地表積雪融化或積水蒸發產生的非絕熱降溫會在迎風坡形成下谷風(down-valley wind)並進一步增強冷空氣的堆積,該現象可類比山谷風系統(mountain-valley wind system)在夜間的下谷風,和冷空氣池(cold air pool) 。
在動力學理論中,過山波有利於過山氣流的上升運動,在微物理過程方面,理想狀態的過山波也有利於微物理過程和地形降水的產生。首先,過山波使得過山氣流的上升區域向上風區傾斜,使其與降水區域有更大面積的重疊,減小了生成時間尺度;其次,山脈波動減緩了水平風速,因此增大了平流時間尺度;最後,山脈波動可以將上升氣流(updraft)帶入對流層更高處,此時雲系內有更大的區域可以生成降水,因此減小了生成時間尺度 。除上述理想情形外,實際觀測中過山波也可能降低地形降水的效率,例如波長短的過山波會抑制地形降水雲系的發展,增大生成時間尺度 。
分類
地形抬升
地形降水地形抬升降水是穩定或中性層結氣流在通過山地迎風坡時受迫上上運動,其內部水汽因絕熱降溫而凝結並形成降水的天氣過程。地形抬升的垂直速度通常在 左右,高於大尺度降水系統內層結氣流的垂直速度,但低於中尺度強對流系統的垂直速度。地形抬升在水平方向通常較為平緩,其平流時間尺度在1小時左右,抬升過程通常伴隨過山波的影響 。
氣流完全通過山地的地形抬升 | 氣流完全通過山地的地形抬升:最常見的情形,中性濕氣流在迎風坡受地形抬升並在山頂附近形成雲系。雲系內的冰晶在上層按凝華和聚合方式生成後進入中下層的液態環境中以結凇方式繼續增長,並在重力作用下落入地面。隨著地形降水過程的持續,雲系的殘餘部分在氣流進入背風坡後在下沉運動和絕熱增溫的影響下開始消散 。 |
被山地完全阻滯的地形抬升 | 被山地完全阻滯的地形抬升:此類情形通常在氣流結穩定、過山速度慢且迎風坡海拔較高時出現。被完全阻擋的氣流,尤其是下方層結的冷空氣會在迎風坡堆積並抬升其上部的過山氣流,相當將山地的影響向上游延伸。該情況出現時,地形抬升降水的空間分布會向上游移動,且由於平流時間尺度的增大,地形抬升降水會得到更充分的發展 。 |
被山地部分阻滯的地形抬升 | 被山地部分阻滯的地形抬升:介於上述兩類地形抬升之間的形式,層結穩定的過山氣流在迎風坡被部分阻擋,但仍可通過山地,未被阻滯的氣流通常速度很快,可以發展為超臨界流體(supercritical flow)並在背風坡即將脫離山地時形成水躍(hydraulic jump)。水躍帶來的層結不穩定能量可能觸發對流。在觀測中,該形式的地形抬升可在背風坡處帶來降水系統的二次增強 。 |
小尺度山地的地形抬升 | 小尺度山地的地形抬升:當山地的海拔較低、有平緩的背風坡或與另一山脈的迎風坡相連時,過山氣流在迎風坡產生的雲系和降水不會在背風坡完全消散,而是在受背風坡下沉氣流的影響下被削弱,但仍然可以產生降水 。 |
由於在氣候尺度上山地可以認為是靜止,因此地形抬升的影響區域也是固定的,在氣候學研究中,地形抬升和雨影效應被用於解釋全球主要山系迎風坡和背風坡的降水氣候態差異,例子包括與喜馬拉雅山關聯的印度(迎風側)和中國西北部(背風側)、與安第斯山脈關聯的亞馬遜盆地(迎風側)和阿塔卡馬沙漠(背風側)。
地形對流
地形對流是對在山地發生或受山地影響的對流性降水的統稱。山地通過各類方式為局地大氣賦予對流有效位能(Convective Available Potential Energy, CAPE),促使後者發生不穩定抬升並形成對流單體。
地形抬升觸發對流 | 地形抬升觸發對流:層結不穩定的氣流在山地迎風坡被抬升超過自由對流高度後,浮力會使得氣團持續上升並產生對流降水。若此類地形對流包含大量CAPE,則可能在垂直方向大幅伸展形成深對流單體並伴隨有密集的積雨雲(cumulonimbus) 。 |
日間輻射增暖觸發對流 | 日間輻射增暖觸發對流:此類情形通常發生於正午,太陽輻射通過對山坡和山頂的加熱在近地面形成位勢溫度梯度,獲得CAPE的局地大氣會發生不穩定抬升並產生對流。輻射增暖也會在山地帶來重力波並將對流系統傳播至山地之外 。 |
夜間背風坡下行氣流引起近地面輻合觸發對流 | 夜間背風坡下行氣流引起近地面輻合觸發對流:夜間的輻射冷卻會抑制山頂的對流活動,但山坡可能會形成強大的下行氣流。若下行氣流在山腳附近與不穩定的濕氣團會和,則會產生對流活動並伴隨降水 。 |
背風波觸發對流 | 背風波觸發對流:背風波可以在山地的背風側製造小範圍的對流活動,其背風波的第一個波峰對不穩定對流的影響最大 。此外,若山地的背風側與臨近山系的迎風坡相連,則背風波可以在山地的背風側製造持續性的雨帶 。 |
過山波觸發對流 | 過山波觸發對流:在垂直方向得到充分發展的過山波在傳播至背風坡後,其正相位的上升氣流可以與近地面存在的濕氣團相互作用,獲得CAPE並製造對流降水 。 |
背風坡的地形輻合觸發對流 | 背風坡的地形輻合觸發對流:此類情形常見於具有碗狀的凸結構的山地,當氣流經過碗狀山地發生繞流並在山後匯合時,水平方向輻合帶來的補償性上升氣流並伴隨降水。一個例子是美國華盛頓州(Washington State)的奧林匹克山(Olympic mountains),當氣流在經過奧林匹克山後受地形影響在普吉特灣(Puget Sound)匯合從而引發局地的對流性降水 。 |
背風坡頂蓋逆溫結構破裂觸發對流 | 背風坡頂蓋逆溫結構破裂觸發對流:山地背風坡存在頂蓋逆溫現象,即層結穩定的下坡氣流位於層結不穩定的邊界層大氣之上。頂蓋逆溫抑制了對流活動的發展,因此其下方大氣的CAPE無法通過垂直運動釋放,而是在局地發生堆積。當堆積的CAPE足夠強時,頂蓋逆溫下方的垂直方向擾動會破壞頂蓋逆溫並迅速發展為深對流系統。此類情形的常見例子是落基山脈東側(背風坡)的下坡氣流對從墨西哥灣北上的濕氣流形成的頂蓋逆溫 。 |
播種-餵養機制
播種-餵養機制在大尺度降水雲系通過山地時,其下方會形成地形降水雲系且降水量會增大,該現象被稱為播種-餵養機制(Seeder-Feeder Mechanism, SFM )或伯傑龍-芬迪森過程(Bergeron-Findeisen process)。SFM是一類特殊的地形降水過程,常見於海拔較低的山地,天氣尺度降水系統在位於地形降水雲繫上方時,其降水會落入地形降水雲系中,形成“播種”。天氣尺度降水在被地形降水雲系吸收後作為新的凝結核促進了後者的降水生成,因此最終落入地面的降水要高於兩個系統獨立產生的降水之和 。SFM帶來的降水增強的大小取決於地形降水雲系,即“被餵養者”自身的轉化時間尺度,與播種的絕對數量無關 。過山波和地形輻合都被認為能夠強化SFM的影響 ,若上游的過山波有得到充分發展並能夠製造降水,則其可作為獨立的“播種者”影響地形降水雲系,該現象有時被稱為“自播種(self-seeding)” 。
除天氣尺度降水系統外,中尺度強對流系統在山地也可以通過SFM帶來強降水。山地對流系統在垂直方向可以伸展至對流層中上層,當其內部的冰晶落入包含過冷水的地形降水雲系後會通過結凇-分裂(rime-splintering)進行二次冰晶生成並產生強降水 。在上升氣流偏弱的情形中,“被餵養者”的降水增強也可能由凝華而非結凇主導 。
天氣過程
地形抬升和地形對流可以作為單獨的機制解釋山地及其周邊地區的降水,但更常見地,地形抬升和地形對流伴隨有特定的天氣過程出現並與其發生相互作用,例如過山氣流可能來自天氣尺度斜壓系統或中尺度對流系統,這裡選擇鋒面氣旋和熱帶氣旋作為兩者的代表介紹天氣過程中的地形降水 。
鋒面氣旋過山
鋒面氣旋是由大氣斜壓不穩定能量發展的天氣尺度系統,在其經過山地時,迎風坡地形抬升帶來的上升氣流會加速鋒面氣旋雲系內的凝結和雲滴合併過程,減小轉化時間尺度並增強降水。在s波段雷達的觀測結果中,鋒面氣旋在凝結高度下方的“低亮度帶(non-bright band)”是受地形抬升影響的主要區域,且降水增強的信號與局地的垂直速度有關 。對低亮度帶上部的雲系,根據MAP外場觀測試驗的結果,其內部與結凇過程有關的冰晶增長也在地形抬升的影響下明顯加快 。所有類型的地形抬升都可以在鋒面氣旋,或與鋒面氣旋有密切聯繫的大氣層河流和低空急流過山時出現並伴隨降水增強 ,其中受阻滯效應影響的類型會在迎風坡偏上游區域開始影響鋒面氣旋 ;而不受阻滯效應影響的類型因其穩定度較低,可能會在地形抬升過程中產生對流單體 。此外,當暖鋒經過低海拔山地時,其後方的降水雲系能夠通過SFM製造強降水 。
東北太平洋沿岸鋒面氣旋過山的3個階段東北太平洋沿岸的鋒面氣旋過山是得到了系統觀測和研究的天氣過程,這裡以此為例介紹沿海地區鋒面氣旋過山的地形降水特徵。通過觀測雷達回波,東北太平洋沿岸的鋒面氣旋過山可以被歸納為3個階段 。在氣旋接近山地迎風坡時,降水回波首先出現於其系統上部,該階段被稱為LEE(Leading Edge Echo);當氣旋受到地形抬升的完全作用時,其降水回波可呈現出兩個峰值區域,被稱為DME(Double Maximum Echo),其中一個峰值位於凝結高度下方,即“亮帶(bright band)”附近、另一個峰值位於亮帶上方偏下游位置,顯示出降水生成過程受地形抬升影響而加速的區域。當鋒面氣旋通過山地後,迎風坡可能出現由殘留的不穩定能量帶來的淺對流系統,其降水回波被稱為SCE(Shallow Convective Echo) 。內陸地區鋒面氣旋過山的地形降水與沿海地區有差異,以北美西部內陸地區為例,此時氣旋過山時鋒前降水帶內可以觀測到對流活動 。
鋒面氣旋過山所帶來的地形降水過程可以發展為氣象災害,例如1998年7月21-22日發生於武漢、黃石等地的特大暴雨 、2006年11月5-7日東北太平洋沿岸的強降水和山洪事件等 。
熱帶氣旋過山
颱風“象神”過山的地形降水數值模擬當熱帶氣旋的主雨帶(principal rain band)通過山地時,其降水在迎風坡增強、背風坡減弱,地形抬升的動力學理論可以很好地解釋該現象,且有多份研究表明,山地的重力波活動影響了熱帶氣旋過山的地形降水過程 。當熱帶氣旋通過地勢較為陡峭的沿海山地時,迎風坡也可觀測到地形對流降水。熱帶氣旋的暴風眼(eye of storm)具有類似於頂蓋逆溫的垂直結構,即對流層中上部的下沉急流和穩定層結位於包含大量位勢不穩定能量的邊界層大氣上部。觀測結果表明,當暴風眼經過山地時,頂蓋逆溫結構會被打破並產生深對流單體 。
熱帶氣旋過包含大量CAPE和充足的水汽,因此能夠帶來強大的地形降水,並通常伴隨有嚴重的次生災害,例子包括1998年10-11月影響在加勒比海山地的颶風米奇(Mitch) 、2005年9月3-4日登入廬山的颱風泰利(Talim)等 。
研究手段
觀測
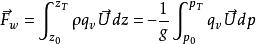
地形降水是山地氣象學的觀測內容之一,具體途徑包括單點觀測(in-situ observation)、遙感反演和外場觀測試驗(field experiment)。在單點觀測中,地形降水的水汽通量(water vapor flux)是重要變數,給定單點垂直方向的大氣觀測,例如探空氣球得到的大氣廓線,水汽通量是單位氣柱內可降水量對風廓線乘積的積分:
地形降水
地形降水
地形降水
地形降水按上式計算的水汽通量具有單位 ,式中 為比濕,在水汽飽和時取飽和比濕, 為垂直於山地的水平風分量。在其它條件不變時,地形抬升的降水量率和水汽通量大致成正比。若數值模式預報的水汽通量小於觀測,則其預報的地形降水通常也小於觀測。
地形降水的遙感觀測以地面遙感(ground remote sensing)為主,S波段雷達的降水回波可以很好地顯示出天氣系統中受地形影響的部分,C和X波段的雷達則被用於地形降水的微物理過程研究。衛星遙感方面,熱帶降雨測量任務(Tropical Rainfall Messurement Mission, TRMM)和全球降水觀測項目(Global Precipitation Measurement, GPM)的降水產品有被用於包含地形降水的氣候學研究。
一些在山地開展的大型外場觀測試驗包括地形降水的觀測任務,包括1970-1980年期間位於內華達山脈的Sierra-Cooperative Project 、1987年位於台灣地區的TAMEX(Taiwan Area Mesoscale Experiment) 、1999年位於阿爾卑斯山的MAP等 ,此外也有針對地形降水過程開展外場觀測試驗,包括1996年的SALPEX(Southern Alpine Precipitation Experiment) 、1999至2002年的(California Land-Falling Jets)/PACJET(Pacific Land-Falling Jets) 、2001年的IMPROVE(Improvement of MicrophysicalParameterization throughObservational Verification Experiment) 、2011年的Dominica experiment等 。
數值模擬
早期理論模型
地形降水的早期數值模擬是基於理論模型和假設構建的簡化系統,此類數值模擬通常僅在研究中作為觀測數值的理論解釋而不是預報工具。這裡按Colton (1976)介紹地形抬升降水最簡化的柱模式(single column model)。在不考慮阻滯效應、固態降水和垂直風切變的情形下,地形抬升降水按質量計算的凝結速率可由如下理論模型表示 :
地形降水
地形降水
地形降水
地形降水
地形降水
地形降水式中 為凝結速率,具有SI單位 , 為氣流過山的水平速度,按模型假設可取對流層中下層的平均值, 為山地迎風坡的海拔梯度, 為氣塊的飽和比濕,與環境溫度有關,因此是高度的函式。上述模型的解釋是,具有飽和水汽的氣塊移動至山地時按迎風坡梯度的走勢獲得垂直速度,抬升過程中環境溫度下降引起氣塊飽比濕下降,其內部水汽開始凝結並產生降水。
微物理參數化方案
數值天氣預報(Numerical Weather Prediction, NWP)中對降水的模擬通過微物理參數化方案(microphysics parameterization)實現。NWP中常見的微物理參數化方案是包含降水顆粒尺寸分布的“塊方案(Bulk Microphysical Parameterization, BMP)”。BMP賦予水凝物源(source)和匯(sink)並由動力框架的時間步輸出計算其動態變化,其中水凝物的尺寸通常取固定值或假設為Gamma分布,且受計算條件的限制,BMP通常不考慮水凝物的幾何形態。對北美東北和西北部冬季山地降水的研究表明,傳統BMP,例如MM5(Mesoscale Model Version 5)中的降水微物理方案傾向於高估地形抬升的影響 ,其中平緩的迎風坡受影響較大 。在計算條件更為充裕的情況下,通過為固態降水建立單獨的尺寸分布、降水生成有關參數以及降水質量和下落速度間的經驗關係可以減小微物理方案在混相地形降水過程的誤差 。另一個對BMP的可能改進是採用質量守恆的正定平流方案(positive-definite advection scheme) 。此外,作為降水模擬的一個普遍問題,NWP模式通常將微物理過程和湍流混合過程獨立參數化。此時因為水汽和氣溫獨立完成了湍流混合,沒有考慮兩者的相互作用,例如湍流混合中的降水凝結,所以氣柱中的水汽會高於觀測值,甚至在低層大氣過飽和,如果NWP模式中發生上述現象且氣柱隨後運動至山地,則地形降水也會被高估 。

氣流完全通過山地的地形抬升
被山地完全阻滯的地形抬升
被山地部分阻滯的地形抬升
小尺度山地的地形抬升
地形抬升觸發對流
日間輻射增暖觸發對流
夜間背風坡下行氣流引起近地面輻合觸發對流
背風波觸發對流
過山波觸發對流
背風坡的地形輻合觸發對流
背風坡頂蓋逆溫結構破裂觸發對流 