簡介
圓是最常見的、最簡單的一種二次曲線。
定義
在平面上到一定點(中心)有同一距離(半徑)之點的軌跡叫做圓周,簡稱圓。
標準方程
圓半徑的長度定出圓周的大小,圓心的位置確定圓在平面上的位置。如果已知:(1)圓半徑長R;(2)中心A的坐標(a,b),則圓的大小及其在平面上關於坐標軸的位置就已確定(如右圖)。根據圖形的幾何尺寸與坐標的聯繫可以得出圓的標準方程。結論如下:
圓的一般方程當圓的中心A與原點重合時,即原點為中心時,即a=b=0,圓的方程為:
圓的一般方程
圓的一般方程圓的一般方程
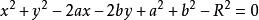
圓的標準方程是一個關於x和y的二次方程,將它展開並按x、y的降冪排列,得:
圓的一般方程設D=-2a,E=-2b,F=a +b -R ;則方程變成:
圓的一般方程任意一個圓的方程都可寫成上述形式。把它和下述的一般形式的二元二次方程比較,可以看出它有這樣的特點:(1)x 項和y 項的係數相等且不為0(在這裡為1);(2)沒有xy的乘積項。
圓的一般方程推導過程
圓的一般方程
圓的一般方程
圓的一般方程
圓的一般方程由圓的標準方程的左邊展開,整理得,在這個方程中,如果令,則這個方程可以表示成。
推論
圓的一般方程可以證明,形如一般表示一個圓。
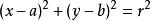
為此,將一般方程配方,得:
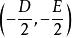
圓的一般方程為此與標準方程比較,可斷定:
圓的一般方程
圓的一般方程(1)當D +E -4F>0時,一般方程表示一個以為圓心,為半徑的圓。
圓的一般方程(2)當D +E -4F=0時,一般方程僅表示一個點,叫做點圓(半徑為零的圓)。
(3)當D +E -4F<0肘,沒有一個點的坐標滿足圓的一般方程,即一般方程不表示任何圖形,叫做虛圓。
圓的標準方程的優點在於它明確地指出了圓心和半徑,而一般方程突出了方程式上的特點,便於區分曲線的形狀。
舉例
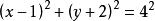
圓的一般方程求方程的軌跡。
解:這個方程的x 和y 項的係數都是1,並且沒有xy項,它與圓的方程有相同的形式.我們把它配方,得:
即:
圓的一般方程
圓的一般方程由此可知,原方程的軌跡是一個以點(1,-2)為圓心,4為半徑的圓。

