弧長公式
角度制計算
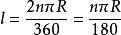
扇形計算公式, l是弧長,n是扇形圓心角,π是圓周率,R是扇形半徑。
弧度制計算
弧長公式
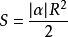
扇形計算公式,l是弧長,|α|是弧l所對的圓心角的弧度數的絕對值,R是扇形半徑。
面積公式
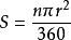
R是扇形半徑,n是弧所對圓心角度數,π是圓周率,L是扇形對應的弧長。
也可以用扇形所在圓的面積除以360再乘以扇形圓心角的角度n,如下:
扇形計算公式;
扇形計算公式(L為弧長,R為扇形半徑)
推導過程:S=πR²×L/2πR=LR/2
扇形計算公式(L=│α│·R)

一條弧和經過這條弧兩端的兩條半徑所圍成的圖形叫扇形(半圓與直徑的組合也是扇形)。顯然, 它是由圓周的一部分與它所對應的圓心角圍成。《幾何原本》中這樣定義扇形:由頂點在圓心的角的兩邊和這兩邊所截一段圓弧圍成的圖形。
角度制計算
扇形計算公式, l是弧長,n是扇形圓心角,π是圓周率,R是扇形半徑。
弧度制計算
弧長公式
扇形計算公式,l是弧長,|α|是弧l所對的圓心角的弧度數的絕對值,R是扇形半徑。
R是扇形半徑,n是弧所對圓心角度數,π是圓周率,L是扇形對應的弧長。
也可以用扇形所在圓的面積除以360再乘以扇形圓心角的角度n,如下:
扇形計算公式;
扇形計算公式(L為弧長,R為扇形半徑)
推導過程:S=πR²×L/2πR=LR/2
扇形計算公式(L=│α│·R)
