物質內容
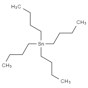
中文名稱: 四正丁基錫
英文名稱:Tetra-Normal-Butyltin
四正丁基錫 CAS: 1461-25-2
MDL: MFCD00009422
分子式: C16H36Sn
分子量: 347.17
SMILES: CCCC[Sn](CCCC)(CCCC)CCCC
屬性
熔點 −97°C(lit.)沸點 127-145°C10mmHg(lit.)
密度 1.057g/mLat25°C(lit.)
折射率 n20/D1.473(lit.)
閃點 225°F
水溶解性 insoluble
穩定性 Stable.Incompatiblewithstrongoxidizingagents.combustible.
危險屬性
危險品標誌 T,N危險類別碼 21-25-36/38-48/23/25-50/53-48/23
安全說明 35-36/37/39-45-60-61
危險品運輸編號 UN17608/PG2
WGKGermany 3
RTECS號 WH8605000
TSCA Yes
HazardClass 6.1(b)
PackingGroup III
海關編碼 29310095
毒害物質數據 1461-25-2(HazardousSubstancesData)
說明
存儲(Store.):Storeinacool,dryarea包裝材料(Info.):4-Butanetricarboxylicacid
