基本介紹
原表達式中a1 a2 a3 a4 b1 b2 b3 b4 c1 c2 c3 c4 d1 d2 d3 d4 e1 e2 e3 e4都為不等常數,X y Z W為未知數,求X y Z W的值。
例題介紹
四元一次方程組表達式和求值推算過程:
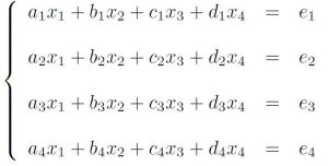
{a1x+b1y+c1z+d1w=e1①
a2x+b2y+c2z+d2w=e2②
a3x+b3y+c3z+d3w=e3③
a4x+b4y+c4z+d4w=e4④}
解:由原式得
{a1x=e1-b1y-c1z-d1w⑤
a2x=e2-b2y-c2z-d2w⑥
a3x=e3-b3y-c3z-d3w⑦
a4x=e4-b4y-c4z-d4w⑧}
⑤÷⑥:
a1/a2*(e2-b2y-c2z-d2w)=e1-b1y-c1z-d1w⑨
⑦÷⑧:
a3/a4*(e4-b4y-c4z-d4w)=e3-b3y-c3z-d3w⑩
⑥÷⑦
a2/a3*(e3-b3y-c3z-d3w)=e2-b2y-c2z-d2w⑾
∵⑨:
a1/a2*e2-a1/a2*b2y-a1/a2*c2z-a1/a2*d2w=e1-b1y-c1z-d1w
b1y-a1/a2*b2y+c1z-a1/a2*c2z+d1w-a1/a2*d2w=e1-a1/a2*e2
(b1-a1/a2*b2)y+(c1-a1/a2*c2)z+(d1-a1/a2*d2)W=e1-a1/a2*e2⑿
∵⑩:
a3/a4*e4-a3/a4*b4y-a3/a4*c4z-a3/a4*d4w=e3-b3y-c3z-d3w
b3y+c3z+d3w-a3/a4*b4y-a3/a4*c4z-a3/a4*d4w=e3-a3/a4*e4
(b3-a3/a4*b4)y+(c3-a3/a4*c4)Z+(d3-a3/a4*d4)w=e3-a3/a4*e4⒁
∵⑾:
a2/a3*e3-a2/a3*b3y-a2/a3*c3z-a2/a3*d3w=e2-b2y-c2z-d2w
b2y+c2z+d2w-a2/a3*b3y-a2/a3*c3z-a2/a3*d3w=e2-a2/a3*e3
(b2-a2/a3*b3)y+(c2-a2/a3*C3)Z+(d2-a2/a3*d3)W=e2-a2/a3*e3⒀
∵⑿⒀⒁
{(b1-a1/a2*b2)y=e1-a1/a2*e2-(c1-a1/a2*c2)z-(d1-a1/a2*d2)W⒂
(b2-a2/a3*b3)y=e2-a2/a3*e3-(c2-a2/a3*C3)Z-(d2-a2/a3*d3)W⒃
(b3-a3/a4*b4)y=e3-a3/a4*e4-(c3-a3/a4*c4)Z-(d3-a3/a4*d4)w⒄}
⒂÷⒃:
[(b1-a1/a2*b2)÷(b2-a2/a3*b3)]*[e2-a2/a3*e3-(c2-a2/a3*C3)Z-(d2-a2/a3*d3)W]=e1-a1/a2*e2-(c1-a1/a2*c2)z-(d1-a1/a2*d2)W⒅
⒃÷⒄:
[(b2-a2/a3*b3)÷(b3-a3/a4*b4)]*[e3-a3/a4*e4-(c3-a3/a4*c4)Z-(d3-a3/a4*d4)w]=e2-a2/a3*e3-(c2-a2/a3*C3)Z-(d2-a2/a3*d3)W⒆
∵⒅
[(b1-a1/a2*b2)÷(b2-a2/a3*b3)]*[e2-a2/a3*e3-(c2-a2/a3*C3)Z-(d2-a2/a3*d3)W]+(c1-a1/a2*c2)z=e1-a1/a2*e2-(d1-a1/a2*d2)W
[(b1-a1/a2*b2)÷(b2-a2/a3*b3)]*(e2-a2/a3*e3)-[(b1-a1/a2*b2)÷(b2-a2/a3*b3)]*(c2-a2/a3*C3)Z-[(b1-a1/a2*b2)÷(b2-a2/a3*b3)]*(d2-a2/a3*d3)W+(c1-a1/a2*c2)z=e1-a1/a2*e2-(d1-a1/a2*d2)W
[(c1-a1/a2*c2)-[(b1-a1/a2*b2)÷(b2-a2/a3*b3)]*(c2-a2/a3*C3)]z=e1-a1/a2*e2-[(b1-a1/a2*b2)÷(b2-a2/a3*b3)]*(e2-a2/a3*e3)+[[(b1-a1/a2*b2)÷(b2-a2/a3*b3)]*(d2-a2/a3*d3)-(d1-a1/a2*d2)]w (1)
∵⒆
[(b2-a2/a3*b3)÷(b3-a3/a4*b4)]*[e3-a3/a4*e4-(c3-a3/a4*c4)Z-(d3-a3/a4*d4)w]+(c2-a2/a3*C3)Z=e2-a2/a3*e3-(d2-a2/a3*d3)W
[(b2-a2/a3*b3)÷(b3-a3/a4*b4)]*(e3-a3/a4*e4)-[(b2-a2/a3*b3)÷(b3-a3/a4*b4)]*(c3-a3/a4*c4)Z-[(b2-a2/a3*b3)÷(b3-a3/a4*b4)]*(d3-a3/a4*d4)w+(c2-a2/a3*C3)Z=e2-a2/a3*e3-(d2-a2/a3*d3)W
[(c2-a2/a3*C3)-[(b2-a2/a3*b3)÷(b3-a3/a4*b4)]*(c3-a3/a4*c4)]z=e2-a2/a3*e3-[(b2-a2/a3*b3)÷(b3-a3/a4*b4)]*(e3-a3/a4*e4)+[[(b2-a2/a3*b3)÷(b3-a3/a4*b4)]*(d3-a3/a4*d4)-(d2-a2/a3*d3)]w (2)
(1)÷(2)
{[(c1-a1/a2*c2)-[(b1-a1/a2*b2)÷(b2-a2/a3*b3)]*(c2-a2/a3*C3)]÷[(c2-a2/a3*C3)-[(b2-a2/a3*b3)÷(b3-a3/a4*b4)]*(c3-a3/a4*c4)]}*{e2-a2/a3*e3-[(b2-a2/a3*b3)÷(b3-a3/a4*b4)]*(e3-a3/a4*e4)+[[(b2-a2/a3*b3)÷(b3-a3/a4*b4)]*(d3-a3/a4*d4)-(d2-a2/a3*d3)]w}=e1-a1/a2*e2-[(b1-a1/a2*b2)÷(b2-a2/a3*b3)]*(e2-a2/a3*e3)+[[(b1-a1/a2*b2)÷(b2-a2/a3*b3)]*(d2-a2/a3*d3)-(d1-a1/a2*d2)]w (3)
{[(c1-a1/a2*c2)-[(b1-a1/a2*b2)÷(b2-a2/a3*b3)]*(c2-a2/a3*C3)]÷[(c2-a2/a3*C3)-[(b2-a2/a3*b3)÷(b3-a3/a4*b4)]*(c3-a3/a4*c4)]}*{e2-a2/a3*e3-[(b2-a2/a3*b3)÷(b3-a3/a4*b4)]*(e3-a3/a4*e4)}+{[(c1-a1/a2*c2)-[(b1-a1/a2*b2)÷(b2-a2/a3*b3)]*(c2-a2/a3*C3)]÷[(c2-a2/a3*C3)-[(b2-a2/a3*b3)÷(b3-a3/a4*b4)]*(c3-a3/a4*c4)]}*[[(b2-a2/a3*b3)÷(b3-a3/a4*b4)]*(d3-a3/a4*d4)-(d2-a2/a3*d3)]w=e1-a1/a2*e2-[(b1-a1/a2*b2)÷(b2-a2/a3*b3)]*(e2-a2/a3*e3)+[[(b1-a1/a2*b2)÷(b2-a2/a3*b3)]*(d2-a2/a3*d3)-(d1-a1/a2*d2)]w
{{[(c1-a1/a2*c2)-[(b1-a1/a2*b2)÷(b2-a2/a3*b3)]*(c2-a2/a3*C3)]÷[(c2-a2/a3*C3)-[(b2-a2/a3*b3)÷(b3-a3/a4*b4)]*(c3-a3/a4*c4)]}*[[(b2-a2/a3*b3)÷(b3-a3/a4*b4)]*(d3-a3/a4*d4)-(d2-a2/a3*d3)]-[[(b1-a1/a2*b2)÷(b2-a2/a3*b3)]*(d2-a2/a3*d3)-(d1-a1/a2*d2)]}w=[e1-a1/a2*e2-[(b1-a1/a2*b2)÷(b2-a2/a3*b3)]*(e2-a2/a3*e3)]-{[(c1-a1/a2*c2)-[(b1-a1/a2*b2)÷(b2-a2/a3*b3)]*(c2-a2/a3*C3)]÷[(c2-a2/a3*C3)-[(b2-a2/a3*b3)÷(b3-a3/a4*b4)]*(c3-a3/a4*c4)]}*{e2-a2/a3*e3-[(b2-a2/a3*b3)÷(b3-a3/a4*b4)]*(e3-a3/a4*e4)} (4)
[[(b1-a1/a2*b2)÷(b2-a2/a3*b3)]*(d2-a2/a3*d3)-(d1-a1/a2*d2)]w=[(c1-a1/a2*c2)-[(b1-a1/a2*b2)÷(b2-a2/a3*b3)]*(c2-a2/a3*C3)]z+[(b1-a1/a2*b2)÷(b2-a2/a3*b3)]*(e2-a2/a3*e3)-(e1-a1/a2*e2) (1')
[[(b2-a2/a3*b3)÷(b3-a3/a4*b4)]*(d3-a3/a4*d4)-(d2-a2/a3*d3)]w=[(c2-a2/a3*C3)-[(b2-a2/a3*b3)÷(b3-a3/a4*b4)]*(c3-a3/a4*c4)]z+[(b2-a2/a3*b3)÷(b3-a3/a4*b4)]*(e3-a3/a4*e4)-(e2-a2/a3*e3) (2')
(1')÷(2')
{[[(b1-a1/a2*b2)÷(b2-a2/a3*b3)]*(d2-a2/a3*d3)-(d1-a1/a2*d2)]÷[[(b2-a2/a3*b3)÷(b3-a3/a4*b4)]*(d3-a3/a4*d4)-(d2-a2/a3*d3)]}*{[(c2-a2/a3*C3)-[(b2-a2/a3*b3)÷(b3-a3/a4*b4)]*(c3-a3/a4*c4)]z+[(b2-a2/a3*b3)÷(b3-a3/a4*b4)]*(e3-a3/a4*e4)-(e2-a2/a3*e3)}=[(c1-a1/a2*c2)-[(b1-a1/a2*b2)÷(b2-a2/a3*b3)]*(c2-a2/a3*C3)]z+[(b1-a1/a2*b2)÷(b2-a2/a3*b3)]*(e2-a2/a3*e3)-(e1-a1/a2*e2) (3')
{[[(b1-a1/a2*b2)÷(b2-a2/a3*b3)]*(d2-a2/a3*d3)-(d1-a1/a2*d2)]÷[[(b2-a2/a3*b3)÷(b3-a3/a4*b4)]*(d3-a3/a4*d4)-(d2-a2/a3*d3)]}*[(c2-a2/a3*C3)-[(b2-a2/a3*b3)÷(b3-a3/a4*b4)]*(c3-a3/a4*c4)]z+{[[(b1-a1/a2*b2)÷(b2-a2/a3*b3)]*(d2-a2/a3*d3)-(d1-a1/a2*d2)]÷[[(b2-a2/a3*b3)÷(b3-a3/a4*b4)]*(d3-a3/a4*d4)-(d2-a2/a3*d3)]}*[[(b2-a2/a3*b3)÷(b3-a3/a4*b4)]*(e3-a3/a4*e4)-(e2-a2/a3*e3)]=[(c1-a1/a2*c2)-[(b1-a1/a2*b2)÷(b2-a2/a3*b3)]*(c2-a2/a3*C3)]z+[[(b1-a1/a2*b2)÷(b2-a2/a3*b3)]*(e2-a2/a3*e3)-(e1-a1/a2*e2)]
{{[[(b1-a1/a2*b2)÷(b2-a2/a3*b3)]*(d2-a2/a3*d3)-(d1-a1/a2*d2)]÷[[(b2-a2/a3*b3)÷(b3-a3/a4*b4)]*(d3-a3/a4*d4)-(d2-a2/a3*d3)]}*[(c2-a2/a3*C3)-[(b2-a2/a3*b3)÷(b3-a3/a4*b4)]*(c3-a3/a4*c4)]-[(c1-a1/a2*c2)-[(b1-a1/a2*b2)÷(b2-a2/a3*b3)]*(c2-a2/a3*C3)]}z=[[(b1-a1/a2*b2)÷(b2-a2/a3*b3)]*(e2-a2/a3*e3)-(e1-a1/a2*e2)]-{[[(b1-a1/a2*b2)÷(b2-a2/a3*b3)]*(d2-a2/a3*d3)-(d1-a1/a2*d2)]÷[[(b2-a2/a3*b3)÷(b3-a3/a4*b4)]*(d3-a3/a4*d4)-(d2-a2/a3*d3)]}*[[(b2-a2/a3*b3)÷(b3-a3/a4*b4)]*(e3-a3/a4*e4)-(e2-a2/a3*e3)] (4')
(4)、(4')中a1 a2 a3 a4 b1 b2 b3 b4 c1 c2 c3 c4 d1 d2 d3 d4 e1 e2 e3 e4都為常數,只有未知數W、Z。
W、Z值已解,代入⒂、⒃、 ⒄其中一個式子就可求出y的值,
求出 w Z y的值最後代入原式①②③④中的任意一個,就可求出X值。
X y z W四個未知數值已解。 推算過程中消元法,最終解的值一樣。
解方程組。
{x+y=4
y+5x=12
{z+w=9
2z+5w=30
解:可以按兩個二元一次方程組做。
(5-1)x=12-4
4x=8 x=2
y=4-2=2
z+5w=15
5w=6
w= 1.2 9-1.2=7.8=z

