定義
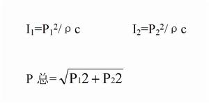
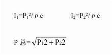
聲能量是可以代數相加的,設兩個聲源的聲功率分別為W1和W2,那么總聲功率W總=W1+W2。當兩個聲源在某一點的聲強為I1和I2時,疊加後的總聲強為I總=I1+I2。但聲壓不能直接相加。
公式
噪聲疊加
定義 兩個以上獨立聲源作用於某一點,就會產生噪聲的疊加。
聲能量是可以代數相加的,設兩個聲源的聲功率分別為W1和W2,那么總聲功率W總=W1+W2。當兩個聲源在某一點的聲強為I1和I2時,疊加後的總聲強為I總=I1+I2。但聲壓不能直接相加。
噪聲疊加噪聲是發聲體做無規則時發出的聲音。聲音由物體振動引起,以波的形式在一定的介質(如固體、液體、氣體)中進行傳播,而通常所說的噪聲污染是指人為造成的噪聲。從...
定義 概述 城市環境噪聲的來源 噪聲的等級與標準 噪聲控制基本途徑疊加,使預先成並存儲的圖形、屬性特徵等被調用併疊合在一個基本圖形上的過程或方法。 地理上關於地殼不同沉積的疊加方式。疊加模式把圖像的"基色"顏色與"混合...
基本內容噪聲濾波器(noise filter),對威脅裝置正常工作的多種電磁干擾進行有效抑制的模擬式電路或器件。
簡介 作用 類型 基本結構 主要設計原則變壓器噪聲是由本體結構設計、選型布局、安裝、使用過程中,變壓器本體及冷卻系統產生的不規則、間歇、連續或隨機引起的機械噪聲及空氣噪聲總和。變壓器所產生的噪...
簡介 背景 分類 影響 產生機理在數學物理中經常出現這樣的現象:幾種不同原因的綜合所產生的效果,等於這些不同原因單獨產生效果的累加。
基本簡介 理論套用 邊界值 套用示例 注意問題自然界雷暴活動所產生的電磁輻射,又稱天電干擾。地球上任何一處的大氣噪聲都是其他地區雷電輻射與本地區雷電輻射的疊加。受天電干擾的程度與接近雷電中心的距離有...
大氣噪聲 正文 配圖 相關連線噪聲源很多,從輻射聲波的機理來看,有點源(簡單聲源)、偶極子源和四極子源等基本類型。實際的聲源可以看成是這些聲源的疊加。研究點源、偶極子源和四極子源的輻...
噪聲輻射 正文 配圖 相關連線空調噪聲是空調系統工作時發出的噪聲,包括風機產生的逸入房間中的噪聲,和風管末端處的再生噪聲,風機產生的噪聲,是葉片旋轉時撞擊周圍空氣而產生的有調噪聲和有...
定義 噪聲源 常見原因pattern. 把這些函式疊加起來產生的噪聲樣式。 Persistence...每個連續疊加的噪聲函式使用了兩倍的頻率和二分之一倍的振幅。這個太普通...一個噪聲函式基本上是一個種子隨機發生器。它需要一個整數作為參數...
